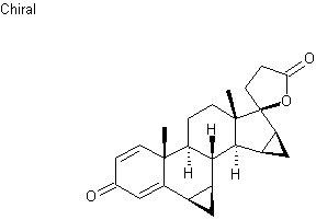
【药物名称】Spirorenone, ZK-35973, Delta-1-MSp
化学结构式(Chemical Structure):
参考文献No.39505
标题:Novel spironolactones and process for their preparation
作者:Losert, W.; Bittler, D.; Vasals-Stenzel, J.; Wiechert, R.; Kerb, U. (Schering AG)
来源:DE 2652761; US 4129564
合成路线图解说明:

3beta-Hydroxy-5-androsten-17-one (XVII) is dihydroxylated microbiologically by means of Colletotrichum lini to 3beta,7alpha,15alpha-trihydroxy-5-androsten-17-one (XVIII), which is treated with acetone and boron trifluoride etherate yielding the acetonide (XIX). Hydrolysis of (XIX) with HCl in methanol affords the 3beta,7beta,15alpha-isomer (XX), which is also obtained from (XVIII) by isomerization with perchloric acid in methylisobutylketone. Selective acylation of (XX) with pivaloyl chloride affords the 3beta,15alpha-dipivaloyloxy compound (XXI), which is submitted to cyclopropanation with trimethylsulfoxonium iodide and NaOH as before yielding (IX).

合成路线图解说明:

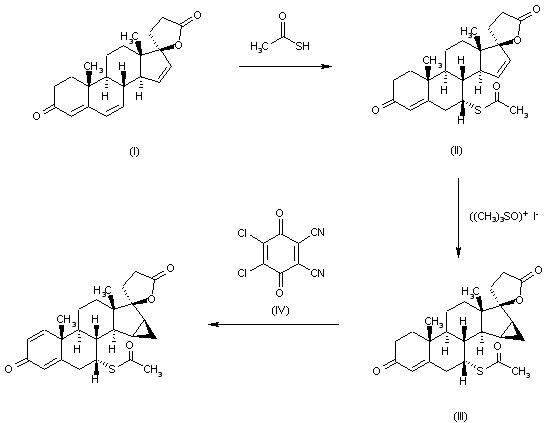
The acylation of spiro[pregnane-17,2'-tetrahydrofuran]-4,6,15-triene-3,5'-dione (I) with thioacetic acid in refluxing methanol gives the 7-acetylthio derivative (II), which is methylenated with trimethylsulfoxonium iodide and NaH in refluxing DMSO, yielding the 15beta,16beta-methylene derivative (III). Finally, this compound is dehydrogenated with 2,3-dichloro-5,6-dicyanobenzoquinone (IV) in refluxing benzene.

合成路线图解说明:

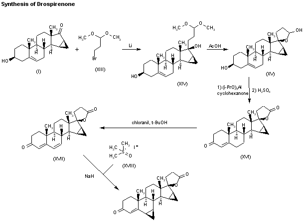
3) Reaction of 3beta-hydroxy-15beta,16beta-methylene-5-androsten-17-one (I) with 1-bromo-3,3-dimethoxypropane (XIII) and lithium in THF gives the 17alpha-(3,3-dimethoxypropyl) derivative (XIV), which by treatment with 70% acetic acid provides the spiro compound (XV). Oxidation of compound (XV) with cyclohexanone in the presence of (i-PrO)3Al and then treatment with 2N H2SO4 affords 15beta,16beta-methylene-3-oxo-17alpha-pregn-4-ene-21,17-carbolactone (XVI). Treatment of (XVI) with chloranil in t-BuOH yields the pregnadiene carbolactone (XVII), which is finally reacted with trimethylsulfoxonium iodide (XVIII) and NaH in DMSO.

参考文献No.46541
标题:6beta,7beta;15,16-Dimethylene-1,4-androstadien-3-ones, their preparation and use as medicinal agents
作者:Wiechert, R.; et al. (Schering AG)
来源:DE 2922500; EP 0019690; JP 55162799
合成路线图解说明:

The reaction of 3beta-hydroxy-15beta,16beta-methylene-5-androsten-17-one (I) with 1-bromo-3,3 dimethoxypropane (II) by means of Li in THF gives the corresponding 3,3-dimethoxypropyl derivative (III), which by cyclization with acetic acid is converted to the lactol (IV). Oxidation of (IV) with cyclohexanone and aluminum isopropoxide in refluxing toluene yields 15beta,16beta-methylene-4-androstene[17(beta-1')-spiro)-5']perhydrofuran-2',3-dione (V), which is dehydrogenated with chloranil in refluxing tert-butanol to the 4,6-androstadiene (VI). Cyclopropanation of (VI) with trimethylsolfoxoniurn iodide (A) and NaH in DMSO affords the 6beta,7beta:15beta,16beta-dimethylene compound (VII), which is finally dehydrogenated by means of 2,3-dichloro-5,6-dicyanobenzoquinone in refluxing dioxane.

参考文献No.74994
标题:Spirorenone
作者:Serradell, M.N.; Robinson, C.P.; Casta馿r, J.
来源:Drugs Fut 1985,10(6),478
合成路线图解说明:

The reaction of 3beta-hydroxy-15beta,16beta-methylene-5-androsten-17-one (I) with 1-bromo-3,3 dimethoxypropane (II) by means of Li in THF gives the corresponding 3,3-dimethoxypropyl derivative (III), which by cyclization with acetic acid is converted to the lactol (IV). Oxidation of (IV) with cyclohexanone and aluminum isopropoxide in refluxing toluene yields 15beta,16beta-methylene-4-androstene[17(beta-1')-spiro)-5']perhydrofuran-2',3-dione (V), which is dehydrogenated with chloranil in refluxing tert-butanol to the 4,6-androstadiene (VI). Cyclopropanation of (VI) with trimethylsolfoxoniurn iodide (A) and NaH in DMSO affords the 6beta,7beta:15beta,16beta-dimethylene compound (VII), which is finally dehydrogenated by means of 2,3-dichloro-5,6-dicyanobenzoquinone in refluxing dioxane.

合成路线图解说明:

Starting compound (I) is hydroxylated microbiologically by means of Botryodiplodia malorum to 3,7-dihydroxy-15beta,16beta-methylene-5-androsten-17-one (VIII), which is selectively acylated with pivalic anhydride to the monoacyl derivative (IX). Epoxidation of (IX) with tert-butyl hydroperoxide in hot toluene yields the epoxide (X), which by reaction with triphenylphosphine and CCl4 is converted to the chloroepoxide (Xl). The reactive elimination of Cl with Zn-acetic acid followed by hydrolysis with KOH yields 3,5-dihydroxy-15beta,16beta-methylene-6-androsten-17-one (XII), which is submitted to cyclopropanation with methyrene iodide and Zn/Cu in glyme yielding 3,5-dihydroxy-6beta,7beta:15beta,16beta-dimethyleneandrostan-17-one (XIII). The reaction of (XIII) with propargyl alcohol (XIV) by means of potassium ethoxide in THF affords the 17-(3-hydroxy-1-propyn-1-yl) derivative (XV), which is reduced with H2 over Pd/CaCO3 in THF to the corresponding 3-hydroxypropyl derivative (XVI). Finally, this compound is oxidized and cyclized by means of pyridinium dichromate to (VII) ), which is finally dehydrogenated by means of 2,3-dichloro-5,6-dicyanohenzoquinone in refluxing dioxane.

合成路线图解说明:

3beta-Hydroxy-5-androsten-17-one (XVII) is dihydroxylated microbiologically by means of Colletotrichum lini to 3beta,7alpha,15alpha-trihydroxy-5-androsten-17-one (XVIII), which is treated with acetone and boron trifluoride etherate yielding the acetonide (XIX). Hydrolysis of (XIX) with HCl in methanol affords the 3beta,7beta,15alpha-isomer (XX), which is also obtained from (XVIII) by isomerization with perchloric acid in methylisobutylketone. Selective acylation of (XX) with pivaloyl chloride affords the 3beta,15alpha-dipivaloyloxy compound (XXI), which is submitted to cyclopropanation with trimethylsulfoxonium iodide and NaOH as before yielding (IX).

参考文献No.800035
标题:A new synthesis for aldosterone-antagonistic spirorenone
作者:Petzoldt, K.; Wiechert, R.; Laurent, H.
来源:Angew Chem 1983,95(5),413-414
合成路线图解说明:

The reaction of 3beta-hydroxy-15beta,16beta-methylene-5-androsten-17-one (I) with 1-bromo-3,3 dimethoxypropane (II) by means of Li in THF gives the corresponding 3,3-dimethoxypropyl derivative (III), which by cyclization with acetic acid is converted to the lactol (IV). Oxidation of (IV) with cyclohexanone and aluminum isopropoxide in refluxing toluene yields 15beta,16beta-methylene-4-androstene[17(beta-1')-spiro)-5']perhydrofuran-2',3-dione (V), which is dehydrogenated with chloranil in refluxing tert-butanol to the 4,6-androstadiene (VI). Cyclopropanation of (VI) with trimethylsolfoxoniurn iodide (A) and NaH in DMSO affords the 6beta,7beta:15beta,16beta-dimethylene compound (VII), which is finally dehydrogenated by means of 2,3-dichloro-5,6-dicyanobenzoquinone in refluxing dioxane.

参考文献No.800036
标题:Synthesis of spirorenone. A novel highly active aldosterone antagonist
作者:Laurent, H.; Hormeister, H.; Nickisch, K.; Butler, D.; Nickolson, R.; Wischert, R.; Petzoldt, K.
来源:Angew Chem 1982,94718
合成路线图解说明:

Starting compound (I) is hydroxylated microbiologically by means of Botryodiplodia malorum to 3,7-dihydroxy-15beta,16beta-methylene-5-androsten-17-one (VIII), which is selectively acylated with pivalic anhydride to the monoacyl derivative (IX). Epoxidation of (IX) with tert-butyl hydroperoxide in hot toluene yields the epoxide (X), which by reaction with triphenylphosphine and CCl4 is converted to the chloroepoxide (Xl). The reactive elimination of Cl with Zn-acetic acid followed by hydrolysis with KOH yields 3,5-dihydroxy-15beta,16beta-methylene-6-androsten-17-one (XII), which is submitted to cyclopropanation with methyrene iodide and Zn/Cu in glyme yielding 3,5-dihydroxy-6beta,7beta:15beta,16beta-dimethyleneandrostan-17-one (XIII). The reaction of (XIII) with propargyl alcohol (XIV) by means of potassium ethoxide in THF affords the 17-(3-hydroxy-1-propyn-1-yl) derivative (XV), which is reduced with H2 over Pd/CaCO3 in THF to the corresponding 3-hydroxypropyl derivative (XVI). Finally, this compound is oxidized and cyclized by means of pyridinium dichromate to (VII) ), which is finally dehydrogenated by means of 2,3-dichloro-5,6-dicyanohenzoquinone in refluxing dioxane.

Drug Information Express,Drug R&D,Chemical Database,Patent Search.
Copyright © 2006-2026 Drug Future. All rights reserved.Contact Us