【药物名称】Fenflumizole
化学结构式(Chemical Structure):
参考文献No.46024
标题:Arylimidazoles, their synthesis and pharmaceutical or veterinary preparations containing them
作者:Jorgensen, D.; Dyrsting, H. (Dumex Ltd.)
来源:AT 375927B; CA 1115716; EP 0005219
合成路线图解说明:

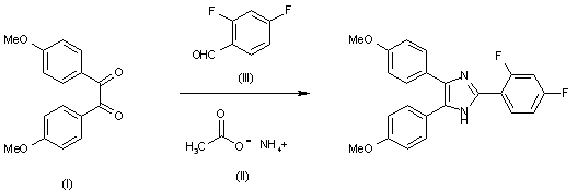
By cyclization of 4,4'-dimethoxybenzyl (I) with ammonium acetate (II) and 2,4-difluorobenzaldehyde (III) in refluxing acetic acid.

参考文献No.74992
标题:Fenflumizole
作者:Casta馿r, J.; Arrigoni-Martelli, E.; Serradell, M.N.
来源:Drugs Fut 1985,10(6),453
合成路线图解说明:

By cyclization of 4,4'-dimethoxybenzyl (I) with ammonium acetate (II) and 2,4-difluorobenzaldehyde (III) in refluxing acetic acid.

Drug Information Express,Drug R&D,Chemical Database,Patent Search.
Copyright © 2006-2026 Drug Future. All rights reserved.Contact Us