【药物名称】SK&F-88070
化学结构式(Chemical Structure):
参考文献No.46027
标题:7-[2-Alkoxyimino-2-(aminothiazole)acetamido]-3-[1-sulfaminoalkyl)tetrazolthiomethyl]cephalosporins
作者:Berges, D.A.; Dunn,G.L. (SmithKline Beecham Corp.)
来源:EP 0043713; JP 57045189; US 4308267
合成路线图解说明:

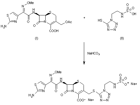
By reaction of 7-[syn-2-methoxyimino-2-(2-amino-4-thiazolyl)acetamido]cephalosporanic acid (I) with 1-(2-sulfamidoethyl)tetrazol-5-thiol (II) in hot water containing NaHCO3.

参考文献No.74629
标题:SKF-88070
作者:Casta馿r, J.; Serradell, M.N.; Burnie, J.; Matthews, R.
来源:Drugs Fut 1985,10(6),476
合成路线图解说明:

By reaction of 7-[syn-2-methoxyimino-2-(2-amino-4-thiazolyl)acetamido]cephalosporanic acid (I) with 1-(2-sulfamidoethyl)tetrazol-5-thiol (II) in hot water containing NaHCO3.

Drug Information Express,Drug R&D,Chemical Database,Patent Search.
Copyright © 2006-2026 Drug Future. All rights reserved.Contact Us