【药物名称】Amrinone, Win-40680, Cordarex, Amcoral, Cartonic, Wincoram, Inocor(lactate)
化学结构式(Chemical Structure):
参考文献No.47010
标题:3-Cyano-5-(pyridinyl)-2(1H)-pyridinones
作者:Lesher, G.Y.; Opalka, C.J. (Sanofi-Synth閘abo)
来源:US 4004012; ZA 7606042
合成路线图解说明:

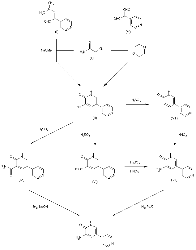
Compound can be prepared in several different ways: 1) The condensation of 2-(4-pyridinyl)-3-dimethylaminoacrolein (I) with cyanacetamide (II) by means of sodium methoxide in refluxing methanol gives 1,2-dihydro-5-(4-pyridinyl)-2-oxonicotinonitrile (III), which by hydrolysis with 90% H2SO4 at 100 C is converted into 1,2-dihydro-5-(4-pyridinyl)-2-oxonicotinamide (IV). Finally, this compound is submitted to a Hofmann degradation with Br2 and NaOH in water. 2) Compound (III) can also be obtained by condensation of 2-(4-pyridinyl)-malonodialdehyde (V) with cyanacetamide (II) by means of morpholine and acetic acid in refluxing benzene. 3) The hydrolysis of (III) with refluxing 50% H2SO4 gives 1,2-dihydro-5-(4-pyridinyl)-2-oxonicotinic acid (VI), which by reaction with 90% HNO3 in conc. H2SO4 at 80 C yields 3-nitro-5-(4-pyridinyl)-2(1H)-pyridinone (VII). Finally, this compound is reduced with H2 over Pd/C in DMF. 4) The decarboxylative hydrolysis of (III) with refluxing 80% H2SO4 gives 5-(4-pyridinyl)-2(1H)-pyridinone (VIII), which can be nitrated with conc. HNO3 in H2SO4 at 80 C to give also (VII).

参考文献No.74462
标题:Amrinone
作者:Hillier, K.
来源:Drugs Fut 1979,4(4),245
合成路线图解说明:

Compound can be prepared in several different ways: 1) The condensation of 2-(4-pyridinyl)-3-dimethylaminoacrolein (I) with cyanacetamide (II) by means of sodium methoxide in refluxing methanol gives 1,2-dihydro-5-(4-pyridinyl)-2-oxonicotinonitrile (III), which by hydrolysis with 90% H2SO4 at 100 C is converted into 1,2-dihydro-5-(4-pyridinyl)-2-oxonicotinamide (IV). Finally, this compound is submitted to a Hofmann degradation with Br2 and NaOH in water. 2) Compound (III) can also be obtained by condensation of 2-(4-pyridinyl)-malonodialdehyde (V) with cyanacetamide (II) by means of morpholine and acetic acid in refluxing benzene. 3) The hydrolysis of (III) with refluxing 50% H2SO4 gives 1,2-dihydro-5-(4-pyridinyl)-2-oxonicotinic acid (VI), which by reaction with 90% HNO3 in conc. H2SO4 at 80 C yields 3-nitro-5-(4-pyridinyl)-2(1H)-pyridinone (VII). Finally, this compound is reduced with H2 over Pd/C in DMF. 4) The decarboxylative hydrolysis of (III) with refluxing 80% H2SO4 gives 5-(4-pyridinyl)-2(1H)-pyridinone (VIII), which can be nitrated with conc. HNO3 in H2SO4 at 80 C to give also (VII).

Drug Information Express,Drug R&D,Chemical Database,Patent Search.
Copyright © 2006-2026 Drug Future. All rights reserved.Contact Us