【药物名称】4,6,4'-Trimethylangelicin, TMA
化学结构式(Chemical Structure):
参考文献No.74988
标题:4,6,4'-Trimethylangelicin
作者:Bordin, F.; Dall'Acqua, F.; Cristofolini, M.; Guiotto, A.
来源:Drugs Fut 1985,10(4),307
合成路线图解说明:

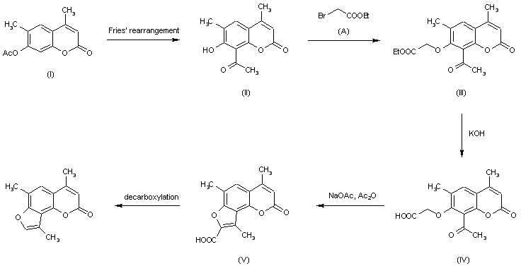
4,6-Dimethyl-7-acetylumbelliforone (4,6-dimethyl-7-acetoxycoumarin) (I) is submitted to the Fries' rearrangement, obtaining the 4,6-dimethyl-8-acetylumbelliferone (II); the latter (II) is condensed with ethylbromoacetate (A) and the resulting ethyl [(4,6-dimethyl-8-acetyl-7-coumarinyl)oxy]acetate (III) is hydrolyzed by refluxing with 5% KOH aqueous methanolic solution; from this solution, acidified with HCl, the [(4,6-dimethyl-8-acetyl-7-coumarinyl)oxy]acetic acid (IV) is extracted with EtOAc and purified by crystallization (EtOAc / n-hexane). Cyclization of (IV), carried out by refluxing in Ac2O in the presence of anhydrous natrium acetate, is accompanied by an almost complete decarboxylation of (V), yielding 4,6,4'-trimethylangelicin (TMA).

参考文献No.607703
标题:6-Methylangelicins: A new series of potential photochemotherapheutic agents for the treatment of psoriasis
作者:Guiotto, A.; Rodighiero, P.; Manzini, P.; Pastorini, G.; Bordin, F.; Baccichetti, F.; Carlassare, F.; Vedaldi, D.; Dall'Acqua, F.; Tamaro, M.; et al.
来源:J Med Chem 1984,27(8),959
合成路线图解说明:

4,6-Dimethyl-7-acetylumbelliforone (4,6-dimethyl-7-acetoxycoumarin) (I) is submitted to the Fries' rearrangement, obtaining the 4,6-dimethyl-8-acetylumbelliferone (II); the latter (II) is condensed with ethylbromoacetate (A) and the resulting ethyl [(4,6-dimethyl-8-acetyl-7-coumarinyl)oxy]acetate (III) is hydrolyzed by refluxing with 5% KOH aqueous methanolic solution; from this solution, acidified with HCl, the [(4,6-dimethyl-8-acetyl-7-coumarinyl)oxy]acetic acid (IV) is extracted with EtOAc and purified by crystallization (EtOAc / n-hexane). Cyclization of (IV), carried out by refluxing in Ac2O in the presence of anhydrous natrium acetate, is accompanied by an almost complete decarboxylation of (V), yielding 4,6,4'-trimethylangelicin (TMA).

Drug Information Express,Drug R&D,Chemical Database,Patent Search.
Copyright © 2006-2026 Drug Future. All rights reserved.Contact Us