【药物名称】
化学结构式(Chemical Structure):
参考文献No.74647
标题:o-Chlorobenzylsulfonamide Sodium Salt
作者:Wyrick, S.D.; Hall, I.H.
来源:Drugs Fut 1985,10(4),277
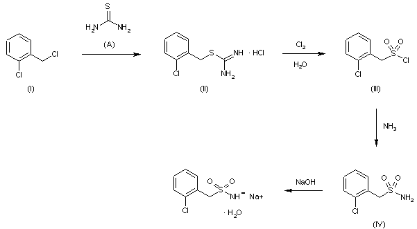
合成路线图解说明:

Reaction of o-chlorobenzyl chloride (I) with thiourea (A) in refluxing ethanol affords the isothiourea hydrochloride (II), which is treated with chlorine gas in aqueous solution equal or lower at 10 C to afford the corresponding sulfonyl chloride (III). Exposure of (III) to liquid ammonia smoothly converts (III) to the sulfonamide (IV), which is converted to the sodium salt monohydrate with ethanolic sodium hydroxide.

参考文献No.800011
标题:Structure-activity studies on antihyperlipidemic N-benzoylsulfamates, N-benzylsulfamates and benzylsulfonamides
作者:Dubey, A.; Hall, I.H.; Wyrick, S.D.
来源:J Pharm Sci 1984,73374-377
合成路线图解说明:

Reaction of o-chlorobenzyl chloride (I) with thiourea (A) in refluxing ethanol affords the isothiourea hydrochloride (II), which is treated with chlorine gas in aqueous solution equal or lower at 10 C to afford the corresponding sulfonyl chloride (III). Exposure of (III) to liquid ammonia smoothly converts (III) to the sulfonamide (IV), which is converted to the sodium salt monohydrate with ethanolic sodium hydroxide.

Drug Information Express,Drug R&D,Chemical Database,Patent Search.
Copyright © 2006-2026 Drug Future. All rights reserved.Contact Us