【药物名称】Methylsulfinylwarfarin
化学结构式(Chemical Structure):
参考文献No.74472
标题:Methylsulfinylwarfarin
作者:Rehse, K.
来源:Drugs Fut 1985,10(3),205
合成路线图解说明:

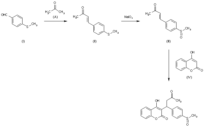
Reaction of 4-methylthiobenzaldehyde (I) with acetone (A) affords in a 90% yield E-4-methylmercaptophenyl-3-buten-2-one (II), which is oxidized by sodium periodate to the sulfoxide (III) in a 55% yield without forming any sulfone as byproduct. The sulfoxide then reacts with 4-hydroxycumarin without solvent at 140 C to form methylsulfinylwarifarin. The compound is purified by extraction from ether with a 1% sodium hydroxide solution and then precipitated with 10% hydrochloric acid. The yield of the last step is 30% of theory.

Drug Information Express,Drug R&D,Chemical Database,Patent Search.
Copyright © 2006-2026 Drug Future. All rights reserved.Contact Us