【药物名称】M-32
化学结构式(Chemical Structure):
参考文献No.46006
标题:Benzamido 2 lower alkyl decahydroisoquinolines
作者:Mathison, I.W. (Aventis Pharmaceuticals, Inc.)
来源:DE 1900948; FR 2004748; GB 1246051; JP 7114060; US 3674791
合成路线图解说明:

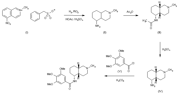
The reduction of 5-nitro-2-methylisoquinolinium p-toluenesulfonate (I) with H2 over PtO2 in acetic acid H2SO4 gives 5-amino-2-methyldecahydroisoquinoline (II), which is acetylated with acetic anhydride in DMF and submitted to fractionated crystallization to give cis-5,9,10-H-5-acetamido-2-methyldecahydroisoquinoline (III). Hydrolysis of (III) with H2SO4 in refluxing water yields cis-5,9,10-H-5-amino-2-methylisoquinoline (IV), which is finally acylated with 3,4,5-trimethoxybenzoyl chloride (V) by means of KHCO3 in benzene.

合成路线图解说明:

The reduction of 5-nitro-2-methylisoquinolinium p-toluenesulfonate (I) with H2 over PtO2 in acetic acid H2SO4 gives 5-amino-2-methyldecahydroisoquinoline (II), which is acetylated with acetic anhydride in DMF and submitted to fractionated crystallization to give trans-5,9,10-H-5-acetamido-2-methyldecahydroisoquinoline (III). Hydrolysis of (III) with H2SO4 in refluxing water yields trans-5,9,10-H-5-amino-2-methylisoquinoline (IV), which is finally acylated with 3,4,5-trimethoxybenzoyl chloride (V) by means of KHCO3 in benzene.

参考文献No.74471
标题:M-30 and M-32
作者:Sneddon, J.; Serradell, M.N.; Casta馿r, J.
来源:Drugs Fut 1985,10(3),203
合成路线图解说明:

The reduction of 5-nitro-2-methylisoquinolinium p-toluenesulfonate (I) with H2 over PtO2 in acetic acid H2SO4 gives 5-amino-2-methyldecahydroisoquinoline (II), which is acetylated with acetic anhydride in DMF and submitted to fractionated crystallization to give trans-5,9,10-H-5-acetamido-2-methyldecahydroisoquinoline (III). Hydrolysis of (III) with H2SO4 in refluxing water yields trans-5,9,10-H-5-amino-2-methylisoquinoline (IV), which is finally acylated with 3,4,5-trimethoxybenzoyl chloride (V) by means of KHCO3 in benzene.

参考文献No.608292
标题:The stereochemistry of 5-substituted decahydroisoquinolines and their antiarrhythmic activity
作者:Marthinson, I.W.; Gueldner, R.C.; Lawson, J.W.; Fowler, S.J.; Peters, E.R.
来源:J Med Chem 1968,11(5),997
合成路线图解说明:

The reduction of 5-nitro-2-methylisoquinolinium p-toluenesulfonate (I) with H2 over PtO2 in acetic acid H2SO4 gives 5-amino-2-methyldecahydroisoquinoline (II), which is acetylated with acetic anhydride in DMF and submitted to fractionated crystallization to give cis-5,9,10-H-5-acetamido-2-methyldecahydroisoquinoline (III). Hydrolysis of (III) with H2SO4 in refluxing water yields cis-5,9,10-H-5-amino-2-methylisoquinoline (IV), which is finally acylated with 3,4,5-trimethoxybenzoyl chloride (V) by means of KHCO3 in benzene.

合成路线图解说明:

The reduction of 5-nitro-2-methylisoquinolinium p-toluenesulfonate (I) with H2 over PtO2 in acetic acid H2SO4 gives 5-amino-2-methyldecahydroisoquinoline (II), which is acetylated with acetic anhydride in DMF and submitted to fractionated crystallization to give trans-5,9,10-H-5-acetamido-2-methyldecahydroisoquinoline (III). Hydrolysis of (III) with H2SO4 in refluxing water yields trans-5,9,10-H-5-amino-2-methylisoquinoline (IV), which is finally acylated with 3,4,5-trimethoxybenzoyl chloride (V) by means of KHCO3 in benzene.

Drug Information Express,Drug R&D,Chemical Database,Patent Search.
Copyright © 2006-2026 Drug Future. All rights reserved.Contact Us