【药物名称】CGS-13928C
化学结构式(Chemical Structure):
参考文献No.46003
标题:1-Carboxy-azaalkyl-indolin-2-carboxylic acids, process for preparing them, pharmaceutical compositions containing them and their therapeutical use
作者:Renfroe, H.B.; Stanton, J.L.; Sele, A. (Novartis AG)
来源:DD 201888; EP 0051301; GB 2086390
合成路线图解说明:

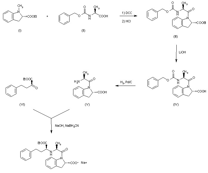
The condensation of ethyl indoline-2-carboxylate (I) with N-benzyloxycarbonylalanine (II) by means of CH2Cl2 gives ethyl N-(benzyloxycarbonylalanyl)indoline-2-carboxylate (III), which is hydrolyzed partially with LiOH in DMF water yielding N-(benzyloxycarbonylalanyl)indoline-2-carboxylic acid (IV). Debenzylation of (IV) by hydrogenation with H2 over Pd/C in aqueous ethanol affords N-alanylindoline-2-carboxylic acid, which is finally reductocondensed with ethyl 2-oxo-3-phenylbutyrate (VI) by means of NaOH and sodium cyanoborohydride or H2 and RaNi in ethanol.

参考文献No.74984
标题:CGS-13928C
作者:Serradell, M.N.; Casta馿r, J.
来源:Drugs Fut 1985,10(3),190
合成路线图解说明:

The condensation of ethyl indoline-2-carboxylate (I) with N-benzyloxycarbonylalanine (II) by means of CH2Cl2 gives ethyl N-(benzyloxycarbonylalanyl)indoline-2-carboxylate (III), which is hydrolyzed partially with LiOH in DMF water yielding N-(benzyloxycarbonylalanyl)indoline-2-carboxylic acid (IV). Debenzylation of (IV) by hydrogenation with H2 over Pd/C in aqueous ethanol affords N-alanylindoline-2-carboxylic acid, which is finally reductocondensed with ethyl 2-oxo-3-phenylbutyrate (VI) by means of NaOH and sodium cyanoborohydride or H2 and RaNi in ethanol.

Drug Information Express,Drug R&D,Chemical Database,Patent Search.
Copyright © 2006-2026 Drug Future. All rights reserved.Contact Us