【药物名称】ST-1959, DL-111-IT
化学结构式(Chemical Structure):
参考文献No.47479
标题:3,5-Disubstd.-1H-1,2,4-triazoles
作者:Omodei Sale, A.; Consonni, P.; Galliani, G.; Lerner, L. (Lepetit SpA)
来源:DE 2819372
合成路线图解说明:

By cyclization of ethyl m-methoxybenzimidate (I) with 2-ethylbenzoyl hydrazide (II) at 125 C.

参考文献No.75185
标题:DL-111-IT
作者:Hillier, K.; Blancafort, P.; Casta馿r, J.; Serradell, M.N.
来源:Drugs Fut 1982,7(12),875
合成路线图解说明:

By cyclization of ethyl m-methoxybenzimidate (I) with 2-ethylbenzoyl hydrazide (II) at 125 C.

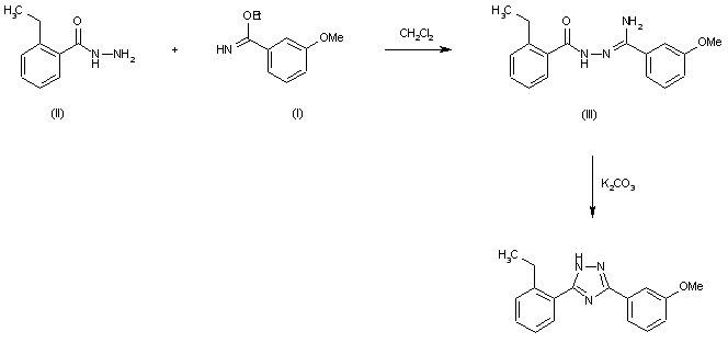
参考文献No.607680
标题:A new class of nonhormonal pregnancy-terminating agents. Synthesis and contragestational activity of 3,5-diaryl-s-triazoles
作者:Omodei-Sal? A.; Consonni, P.; Galliani, G.
来源:J Med Chem 1983,26(8),1187-92
合成路线图解说明:

The condensation of ethyl 3-metboxybenzimidate (I) with 2-ethybenzoic hydrazide (II) in refluxing CH2Cl2 gives the benzoylamidrazone (III), which is then cyclized by means of K2CO3 in refluxing 2-etoxyethanol.

参考文献No.800374
标题:Reaction of substituted acid hydrazides with substituted benzonitriles: Formatio of isomeric triazoles
作者:Neelima; Bhaduri, A.P.
来源:Indian J Chem 1983,22B(1),79-80
合成路线图解说明:

A new method for the synthesis of DL-111-IT has been reported: By cyclization of m-methoxybenzonitrile (I) with ethoxybenzoylhydrazide (II) in refluxing methanol.

Drug Information Express,Drug R&D,Chemical Database,Patent Search.
Copyright © 2006-2026 Drug Future. All rights reserved.Contact Us