【药物名称】Fostriecin sodium, PD-110161, NSC-339638, CL-1565A, CI-920
化学结构式(Chemical Structure):
参考文献No.625202
标题:Total synthesis of fostriecin (CI-920)
作者:Boger, D.L.; Ichikawa, S.; Zhong, W.
来源:J Am Chem Soc 2001,123(18),4161
合成路线图解说明:

The synthesis of dihydropyrancarbaldehyde intermediate (V) has been performed as follows: The oxidation of the selenium derivative (I) with H2O2 followed by in situ elimination gives the dihydropyranone (II), which is reduced with DIBAL to the corresponding lactol and protected as the isopropyl ether (III) by means of PPTS and isopropanol. The deprotection of the silyl ether of (III) with TBAF affords the carbinol (IV), which is finally oxidized with TPAP and NMO to provide the desired carbaldehyde intermediate (V).

合成路线图解说明:

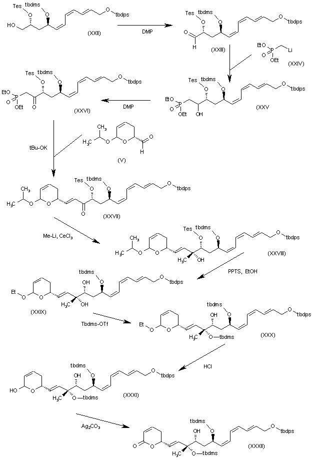
Synthesis of fostriecin: The reduction of tetrahydrofuranone (VI) with DIBAL gives the lactol (VII), which is mesylated with Ms-Cl and treated with TEA to yield the dihydrofuran (VIII). The Sharpless asymmetric dihydroxylation of (VIII) with (DHQD)2AQN affords the diol (IX), which is selectively monosilylated with Tbdms-OTf, providing the silyl ether (X). The condensation of the lactol (X) with phosphonate (XI) by means of KHMDS gives the methyl heptenoate (XII). The silylation of the OH group of (XII) with Tes-OTf yields the disilylated ester (XIII), which is reduced with DIBAL to afford the primary alcohol (XIV). The oxidation of (XIV) with DMP provides the corresponding aldehyde (XV), which is treated with CBr4 and PPH3 to furnish the alpha,alpha-dibromodiene (XVI). Elimination of the Pmb-protecting group of (XVI) with DDQ gives the primary alcohol (XVII), which is treated with Ac2O to yield the acetate (XVIII). The selective monodebromination of (XVIII) with Bu3SnH and Pd(PPh3)4 affords the bromoolefin (XIX), which is condensed with tributylstannane (XX) to provide the adduct (XXI). Cleavage of the acetoxy group of (XXI) by means of DIBAL gives the primary alcohol (XXII).

合成路线图解说明:

The oxidation of alcohol (XXII) with DMP gives the corresponding aldehyde (XXIII), which is condensed with the lithium salt of diethyl methylphosphonate (XXIV), yielding the beta-hydroxy phosphonate (XXV). The oxidation of the OH group of (XXV) with DMP affords the corresponding ketone (XXVI), which is condensed with the already reported carbaldehyde intermediate (V) by means of potassium tert-butoxide to provide the adduct (XXVII). The methylation of the carbonyl group of (XXVII) with methyl lithium and CeCl3 gives tertiary alcohol (XXVIII), which is selectively monodesilylated with PPTS and ethanol (with simultaneous exchange of the isopropyl acetal group by an ethyl group), yielding the vicinal diol (XXIX). Under carefully controlled conditions, the monosilylation of the diol (XXIX) with Tbdms-OTf gives rise to tertiary silyl ether (XXX), which is treated with HCl to provide the lactol (XXXI). The oxidation of (XXXI) with silver carbonate affords the dihydropyranone (XXXII).

合成路线图解说明:

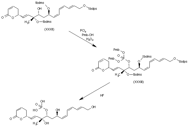
The reaction of the OH group of (XXXII) with PCl3, Pmb-OH and H2O2 gives the phosphoric triester (XXXIII), which is finally desilylated and debenzylated by treatments first with HF in acetonitrile/water (short time) to remove the PMB esters, and then with HF and pyridine in the same solvent to remove the silyl groups.

参考文献No.641612
标题:Total synthesis of fostriecin (CI-920)
作者:Jacobsen, E.N.; Chavez, D.E.
来源:Angew Chem. Int Ed Engl 2001,40(19),3667
合成路线图解说明:

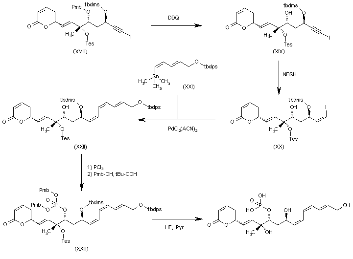
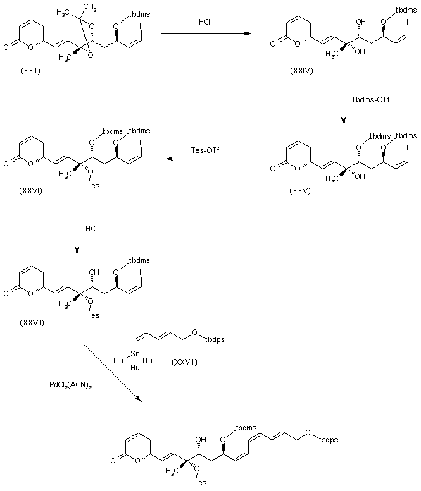
The cyclization of 1-(benzyloxy)butadiene (I) with silylated propargyl aldehyde (II) by means of a chiral chromium catalyst gives the chiral dihydropyran (III), which is desilylated with TBAF and Ts-OH, yielding the acetylenic dihydropyran (IV). The reaction of (IV) with Ts-OH and isopropanol (V) affords the isopropoxy dihydropyran (VI). The optical resolution of the acetyloxirane (VII) by reaction with O2 and a chiral Co catalyst gives a mixture of (S)-3,4-dihydroxy-2-butanone (VIII) and (R)-acetyloxirane (IX) that is easily separated. The condensation of the chiral oxirane (IX) with the acetylenic dihydropyran (VI) by means of Cp2Zr(H)Cl and Me2Zn, yields the epoxyalcohol (X), which is protected with Tes-Cl and imidazole in DMF to afford the silyl ether (XI). Ring opening of the epoxy group of (XI) with acetylenic dithiolane (XII) by means of BuLi in THF provides the adduct (XIII), which is treated with PPTS to cleave the isopropyl group and oxidized with MnO2 to give the dihydropyranone compound (XIV). The cleavage of the dithiolane ring of (XIV) with bis(trifluoroacetoxy)iodobenzene (PIFA), followed by protection of the OH group with Pmb-trichloroimidate and BF3/Et2O, yields the protected acetylenic ketone (XV), which is submitted to a enantioselective reduction by transfer hydrogenation with isopropanol catalyzed by a chiral Ru catalyst, affording the chiral alcohol (XVI). The protection of the OH group of (XVI) with Tbdms-OTf and lutidine provides the fully protected compound (XVII), which is treated with AgNO3 and N-iodosuccinimide (NIS), giving the iodoethynyl compound (XVIII).

合成路线图解说明:

The selective deprotection of the Pmb- group of (XVIII) with DDQ in dichloromethane gives the secondary alcohol (XIX), which is submitted to a highly selective diimide reduction of its ethynylene group by means of 2-nitrobenzenesulfonyl hydrazide (NBSH) in THF/iPr-OH to yield the cis-iodovinyl compound (XX). The condensation of the iodovinyl compound (XX) with tributylstannane (XXI) by means of PdCl2(acetonitrile)2 in DMF affords the adduct (XXII), which is treated with PCl3/pyridine and then oxidized with tBu-OOH and Pmb-OH to provide the phosphate ester (XXIII). Finally, this compound is deprotected with HF/pyridine in acetonitrile to give the target fostriecin.

参考文献No.672839
标题:Asymmetric total synthesis of (+)-fostriecin
作者:Reddy, Y.K.; Falck, J.R.
来源:Org Lett 2002,4(6),969
合成路线图解说明:

The intermediate boronic ester (IV) has been obtained as follows: the silylation of pent-2-en-4-yn-1-ol (I) with Tbdps-Cl and imidazole gives the silyl ether (II), which is condensed with pinacolborane (III) by means of a Rh catalyst tricyclohexyl phosphine and TEA in cyclohexane to afford the target boronic ester intermediate (IV).

合成路线图解说明:

The enantioselective condensation of 3-(trimethylsilyl)propynal (V) with allylmagnesium bromide (VI) by means of (+)-Ipc2B-OMe as chiral catalyst gives hex-5-en-1-yn-3(R)-ol (VII), which is silylated with Tbdps-Cl and imidazole to yield the silyl ether (VIII). The oxidation of the terminal double bond of (VII) by means of OsO4 and NaIO4 affords the aldehyde (IX), which is submitted to a Wittig condensation with the phosphorane (X) in benzene to provide the unsaturated ester (XI). The enantioselective dihydroxylation of the double bond of (XI) with AD-mix-beta in tert-butanol/water gives the dihydroxyester (XII), which is protected with 2-methoxypropene (XIII) and PPTS to yield the isopropylidene ketal (XIV). The bromination of the triple bond of (XIV), followed by selective hydrogenation, affords the cis-bromovinyl compound (XV), whose ester group is reduced with LiAlH4 in THF to provide the primary alcohol (XVI). The oxidation of (XVI) with (COCl)2 and TEA in DMSO gives the carbaldehyde (XVII), which is submitted to a Wittig condensation with the phosphorane (XVIII) in hot dichloromethane to yield the diunsaturated aldehyde (XIX). The enantioselective condensation of aldehyde (XIX) with allylmagnesium bromide catalyzed by (+)Ipc2-B-OMe affords the chiral alcohol (XX), which is esterified with acryloyl chloride (XXI) and DIEA in dichloromethane to provide the ester (XXII). Compound (XXII) is submitted to a ring-closing metathesis catalyzed by a Rh catalyst (Grubbs's catalyst), yielding the dihydropyran derivative (XXIII), which is submitted to cleavage of the acetonide group by means of Montmorillonite K 10 to afford the diol (XXIV). The condensation of the bromovinyl group of (XXIV) with the intermediate boronic ester (IV) by means of Pd(PPh3)4 and Ag2O gives compound (XXV) with the complete backbone of the target fostriecin. The selective monosilylation of (XXV) with Tbdps-OTf gives the intermediate (XXVI).

合成路线图解说明:

The phosphorylation of (XXVI) with POCl3 and 2-(trimethylsilyl)ethanol (XXVII) yields the phosphate ester (XXVIII), which is finally fully desilylated with HF and pyridine to afford the target fostriecin.

参考文献No.716451
标题:Formal total synthesis of fostriecin
作者:Wang, Y.-G.; Kobayashi, Y.
来源:Org Lett 2002,4(26),4615
合成路线图解说明:

The reaction of the iodovinyl compound (I) with BuLi and MgBr2 gives the organometallic compound (II), which is condensed with the acetylenic ketone (III) to yield the tertiary alcohol (IV). The selective monodesilylation of (IV) by means of HF affords the diol (V), which is selectively monoesterified with acryloyl chloride (VI) by means of DIEA to provide the acrylate (VII). The silylation of the free OH group of (VIII) with Tes-OTf gives the desilylated compound (VIII), which is submitted to a ring closing metathesis by means of (Pcy3)2RuCl2(=CH-PH) and Ti(O-iPr)4 in dichloromethane to yield the dihydropyranone (IX). The iodination of the terminal acetylene group of (IX) by means of NIS and AgNO3 in acetone affords the iodoacetylene (X), which is selectively deprotected at the Pmb protecting group by means of DDQ to provide the alcohol (XI). Finally the triple bond of (XI) is reduced by means of o-(NO2)C6H4-SO2-N=NH to obtain the target iodovinyl intermediate (XII) (see scheme no. 09093803b, intermediate (XX)).

参考文献No.725383
标题:Formal catalytic asymmetric total synthesis of fostriecin
作者:Fujii, K.; Maki, K.; Kanai, M.; Shibasaki, M.
来源:Org Lett 2003,5(5),733
合成路线图解说明:

The reaction of 5-(benzyloxy)-3(E)-penten-2-one (I) with trimethylsilyl cyanide (II) by means of a chiral Ti catalyst gives the chiral pentenenitrile (III), which is treated with HCl in ethanol and reduced with DIBAL and NaBH4 in methanol to yield the chiral diol (IV). The selective monosilylation of (IV) by means of TipsCl and imidazole affords the secondary alcohol (V), which is protected with Mom-Cl and DIEA in dichloromethane to provide compound (VI). The debenzylation of (VI) by means of lithium di-t-butyl biphenylide (LiDBB) gives the primary alcohol (VII), which is oxidized with TPAP and NMO in dichloromethane to yield the carbaldehyde (VIII). The reductive allylation of (VIII) by means of allyl trimethoxy silane (IX), AgF and a chiral catalyst affords the secondary alcohol (X), which is esterified with acryloyl chloride (XI) and TEA to provide the acrylate ester (XII). Ester (XII) is submitted to a ring closing metathesis reaction, catalyzed by a Ru catalyst giving the dihydropyranone compound (XIII), which is desilylated by means of HF and TEA in THF to yield the primary alcohol (XIV). The oxidation of (XIV) with DMP in dichloromethane affords the aldehyde (XV), which is condensed with 4-(trimethylsilyl)-3-butyn-2-one (XVI), by means of a chiral La catalyst to provide the acetylenic hydroxyketone (XVII). The reaction of (XVII) with 2,2-dimethoxypropane (XVIII) by means of PPTS gives the acetonide (XIX), which is enantioselectively reduced and catalyzed by a chiral Ru catalyst to yield the secondary alcohol (XX). The reaction of (XX) with Tbdms-OTf affords the silyl ether (XXI), which is treated with NIS and AgNO3 to provide the iodoacetylene derivative (XXII). The diimide reduction of (XXII) using o-nitrobenzenesulfonyl hydrazide (NBSH) gives the cis-iodovinyl compound (XXIII).

合成路线图解说明:

The hydrolysis of the acetonide group of (XXIII) with HCl in aqueous methanol gives the dihydroxy compound (XXIV), which is monosilylated with Tbdms-OTf to yield compound (XXV). Further silylation of (XXV) with Tes-OTf affords the fully silylated compound (XXVI), which is selectively monodesilylated by means of HCl in aqueous THF/acetonitrile to provide the secondary alcohol (XXVII). Finally, this compound is condensed with the tributyltin derivative (XXVIII) by means of PdCl2(ACN)2 in DMF to furnish the target dihydropyranone intermediate (see Scheme no. 09093803b, intermediate (XXII).

Drug Information Express,Drug R&D,Chemical Database,Patent Search.
Copyright © 2006-2026 Drug Future. All rights reserved.Contact Us