【药物名称】Tubulozole hydrochloride, R-46846
化学结构式(Chemical Structure):
参考文献No.75189
标题:Tubulozole Hydrochloride
作者:Van Ginckel, R.; Geuens, G.; Heeres, J.
来源:Drugs Fut 1984,9(12),911
合成路线图解说明:

The acylation of 4-aminothiophenol (I) with ethyl chloroformate (II) is performed in a nitrogen atmosphere in the presence of NaHCO3 in CH2Cl2 / water medium giving ethyl (4-mercaptophenyl)carbamate (III). This compound is condensed with cis-[2-(2,4-dichlorophenyl)-2-(1H-imidazol-1-ylmethyl)-1,3-dixolan-4-yl]methyl methanesulfonate (IV) in the presence of K2CO3 in refluxing acetone under nitrogen, affording the title compound, which is converted to the monohydrochloride with i-PrOH / HCl in 4-methyl-2-pentanone.

合成路线图解说明:

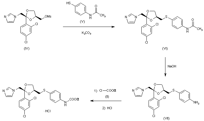
Coupling of (IV) in a nitrogen atmosphere with 4-acetamidothiophenol (V) in refluxing acetone in the presence of K2CO3 affords cis-N-[4-[2-(2,4-dichlorophenyl)-2-(1H-imidazol-1-ylmethyl)-1,3-dioxolan-4-ylmethylthio]phenyl]acetamide, which is deacylated with NaOH in refluxing i-PrOH to give cis-4-[2-(2,4-dichlorophenyl)-2-(1H-imidazol-1-yl-methyl)-1,3-dioxolan-4-ylmethylthio]benzenamine (VII). This compound is converted with ethylchloroformate (II) into the title compound which is isolated as the monohydrochloride on treatment with i-PrOH / HCl.

合成路线图解说明:

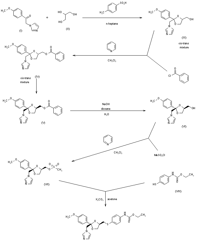
The synthesis of erbulozole, starting from 1-(4-methoxyphenyl)-2-(1H-imidazol-1-yl)ethanone (I) is outlined. Ketalization of (I) with glycerin (II) was performed in n-heptane with p-toluenesulfonic acid as the catalyst and under azeotropic removal of H2O. The resulting dioxolane derivative (III), arising as a cis-trans mixture, was benzoylated to the ester (IV). Cis-trans isomers were separated by column chromatography over silica gel (Merck, Silica gel 60), using a mixture of trichloromethane and methanol (98:2 by volume) as the eluent. Saponification of the cis-benzoate (V) with sodium hydroxide in dioxane-water medium at room temperature afforded the alcohol (VI), which was converted to the methanesulfonate (VII) with methanesulfonylchloride in dry pyridine and methylenechloride (1:1 by volume). Under a nitrogen atmosphere, compound (VII) was coupled with (VIII) in acetone using K2CO3 as an acid acceptor to the target compound, erbulozole.

参考文献No.701204
标题:Novel (2-aryl-4-phenylthioalkyl-1,3-dioxolan-2-yl-methyl)azole derivatives
作者:Heeres, J.; Van der Veken, L.J.E.
来源:DE 3166517D; EP 0052905
合成路线图解说明:

The acylation of 4-aminothiophenol (I) with ethyl chloroformate (II) is performed in a nitrogen atmosphere in the presence of NaHCO3 in CH2Cl2 / water medium giving ethyl (4-mercaptophenyl)carbamate (III). This compound is condensed with cis-[2-(2,4-dichlorophenyl)-2-(1H-imidazol-1-ylmethyl)-1,3-dixolan-4-yl]methyl methanesulfonate (IV) in the presence of K2CO3 in refluxing acetone under nitrogen, affording the title compound, which is converted to the monohydrochloride with i-PrOH / HCl in 4-methyl-2-pentanone.

合成路线图解说明:

Coupling of (IV) in a nitrogen atmosphere with 4-acetamidothiophenol (V) in refluxing acetone in the presence of K2CO3 affords cis-N-[4-[2-(2,4-dichlorophenyl)-2-(1H-imidazol-1-ylmethyl)-1,3-dioxolan-4-ylmethylthio]phenyl]acetamide, which is deacylated with NaOH in refluxing i-PrOH to give cis-4-[2-(2,4-dichlorophenyl)-2-(1H-imidazol-1-yl-methyl)-1,3-dioxolan-4-ylmethylthio]benzenamine (VII). This compound is converted with ethylchloroformate (II) into the title compound which is isolated as the monohydrochloride on treatment with i-PrOH / HCl.

Drug Information Express,Drug R&D,Chemical Database,Patent Search.
Copyright © 2006-2026 Drug Future. All rights reserved.Contact Us