【药物名称】Palmitoyl cytarabine, Palmitoyl Ara-C
化学结构式(Chemical Structure):
参考文献No.47064
标题:N4-Acylarabinonucleosides and the preparation thereof
作者:Ishida, T.; et al. (Asahi Chemical Industry Co., Ltd.)
来源:DE 2426304
合成路线图解说明:

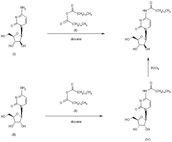
This compound can be obtained in two different ways: 1) By condensation of 1-beta-D-arabinofuranosylcytosine (I) with palmitic anhydride (II) in hot dioxane. 2) By acylation of cytidine (III) with palmitic anhydride (II) in hot dioxane to yield N4-palmitoylcytidine (IV), which is then isomerized by treatment with POCl3 in ethyl acetate.

参考文献No.47065
标题:N4-Acylarabinonucleosides
作者:Ishida, T.; et al. (Asahi Chemical Industry Co., Ltd.)
来源:DE 2461862
合成路线图解说明:

This compound can be obtained in two different ways: 1) By condensation of 1-beta-D-arabinofuranosylcytosine (I) with palmitic anhydride (II) in hot dioxane. 2) By acylation of cytidine (III) with palmitic anhydride (II) in hot dioxane to yield N4-palmitoylcytidine (IV), which is then isomerized by treatment with POCl3 in ethyl acetate.

参考文献No.75192
标题:Palmitoyl/Stearoyl Ara-C
作者:Cabanillas, F.; Casta馿r, J.
来源:Drugs Fut 1980,5(12),617
合成路线图解说明:

This compound can be obtained in two different ways: 1) By condensation of 1-beta-D-arabinofuranosylcytosine (I) with palmitic anhydride (II) in hot dioxane. 2) By acylation of cytidine (III) with palmitic anhydride (II) in hot dioxane to yield N4-palmitoylcytidine (IV), which is then isomerized by treatment with POCl3 in ethyl acetate.

参考文献No.701431
标题:
作者:Ishida, T.; et al.
来源:JP 7707974
合成路线图解说明:

This compound can be obtained in two different ways: 1) By condensation of 1-beta-D-arabinofuranosylcytosine (I) with palmitic anhydride (II) in hot dioxane. 2) By acylation of cytidine (III) with palmitic anhydride (II) in hot dioxane to yield N4-palmitoylcytidine (IV), which is then isomerized by treatment with POCl3 in ethyl acetate.

参考文献No.701432
标题:
作者:Ishida, T.; et al.
来源:JP 7632573
合成路线图解说明:

This compound can be obtained in two different ways: 1) By condensation of 1-beta-D-arabinofuranosylcytosine (I) with palmitic anhydride (II) in hot dioxane. 2) By acylation of cytidine (III) with palmitic anhydride (II) in hot dioxane to yield N4-palmitoylcytidine (IV), which is then isomerized by treatment with POCl3 in ethyl acetate.

参考文献No.701433
标题:
作者:Ishida, T.; et al.
来源:JP 7648679
合成路线图解说明:

This compound can be obtained in two different ways: 1) By condensation of 1-beta-D-arabinofuranosylcytosine (I) with palmitic anhydride (II) in hot dioxane. 2) By acylation of cytidine (III) with palmitic anhydride (II) in hot dioxane to yield N4-palmitoylcytidine (IV), which is then isomerized by treatment with POCl3 in ethyl acetate.

参考文献No.701434
标题:
作者:Ishida, T.; et al.
来源:JP 7626884
合成路线图解说明:

This compound can be obtained in two different ways: 1) By condensation of 1-beta-D-arabinofuranosylcytosine (I) with palmitic anhydride (II) in hot dioxane. 2) By acylation of cytidine (III) with palmitic anhydride (II) in hot dioxane to yield N4-palmitoylcytidine (IV), which is then isomerized by treatment with POCl3 in ethyl acetate.

参考文献No.800504
标题:The synthesis of new derivatives of 1-beta-D-arabinofuranosylcytosine
作者:Akiyama, M.; et al.
来源:Chem Pharm Bull 1978,26(3),981-984
合成路线图解说明:

This compound can be obtained in two different ways: 1) By condensation of 1-beta-D-arabinofuranosylcytosine (I) with palmitic anhydride (II) in hot dioxane. 2) By acylation of cytidine (III) with palmitic anhydride (II) in hot dioxane to yield N4-palmitoylcytidine (IV), which is then isomerized by treatment with POCl3 in ethyl acetate.

Drug Information Express,Drug R&D,Chemical Database,Patent Search.
Copyright © 2006-2026 Drug Future. All rights reserved.Contact Us