【药物名称】BR-227
化学结构式(Chemical Structure):
参考文献No.46002
标题:2-Benzoylamino substituted benzylamine derivative and a process for preparation thereof
作者:Koshinaka, E.; Ogawa, N.; Kurata, S.; Yamagashi, K.; Kato, I. (Hokuriku Seiyaku Co., Ltd.)
来源:DE 3209970; EP 0061157; ES 510608
合成路线图解说明:

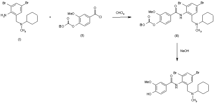
The acylation of 2,4-dibromo-6-(N-cyclohexyl-N-methylaminomethyl)aniline (I) with 4-(ethoxycarbonyloxy)-3-methoxybenzoyl chloride (II) in CHCl3 gives the corresponding amide (III), which is deprotected by a treatment with aqueous 20% NaOH.

参考文献No.74465
标题:BR-227
作者:Chu, S.S.
来源:Drugs Fut 1985,10(3),186
合成路线图解说明:

The acylation of 2,4-dibromo-6-(N-cyclohexyl-N-methylaminomethyl)aniline (I) with 4-(ethoxycarbonyloxy)-3-methoxybenzoyl chloride (II) in CHCl3 gives the corresponding amide (III), which is deprotected by a treatment with aqueous 20% NaOH.

Drug Information Express,Drug R&D,Chemical Database,Patent Search.
Copyright © 2006-2026 Drug Future. All rights reserved.Contact Us