【药物名称】SK&F-94482, BMY-25368
化学结构式(Chemical Structure):
参考文献No.46034
标题:1-Amino-2-[3-(3-piperidinomethylphenoxy)propylamino[cyclobutene-3,4-dione
作者:Algieri, A.A.; Crenshaw, R.R. (Bristol-Myers Squibb Co.)
来源:DE 3218584; FR 2505835; FR 2513250; GB 2098988; GB 2147899; JP 2036159; US 4390701
合成路线图解说明:

The product is prepared by condensation of 3-[3-(1-piperidinylmethyl)phenoxy]propylamine (I) with 1-amino-2-methoxy-1-cyclobutene-3,4-dione (II) in methanol, followed by treatment with HCl.

参考文献No.74457
标题:BMY-25368
作者:Cavanagh, R.L.
来源:Drugs Fut 1985,10(11),890
合成路线图解说明:

The product is prepared by condensation of 3-[3-(1-piperidinylmethyl)phenoxy]propylamine (I) with 1-amino-2-methoxy-1-cyclobutene-3,4-dione (II) in methanol, followed by treatment with HCl.

参考文献No.800046
标题:A novel series of 1-cyclobutene-3,4-dione derivatives with potent and long-acting histamine H2-receptor antagonist activity
作者:Luke, G.M.; Standridge, R.T.; Algieri, A.A.; Crenshaw, R.R.; Brown, M.; Partyka, R.A.
来源:186th ACS Natl Meet (Aug. 28 - Sept. 2, Washington, D.C.) 1983,(63),Abst MEDI-63
合成路线图解说明:

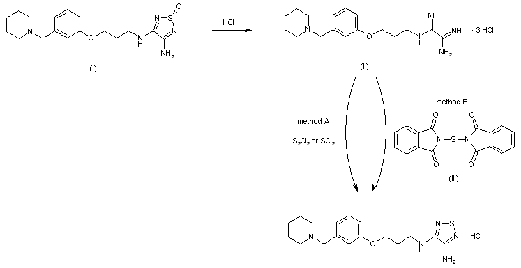
Treatment of 3-amino-4-[3-(3-piperidinomethylphenoxy)propylamino]-1,2,5-thiadiazole-1-oxide, BMY-25260 (I), with an excess of hydrogen chloride in methanol gives N-[3-(3-piperidinomethylphenoxy)propyl]ethanediimidamide trihydrochloride (II) in high yield. Compound (II) is then treated (method A) with sulfur monochloride or sulfur dichloride in DMF, or alternatively (method B) with N,N'-thiobisphthalimide and triethylamine in methylene chloride, followed by treatment with HCl.

合成路线图解说明:

The product is prepared by condensation of 3-[3-(1-piperidinylmethyl)phenoxy]propylamine (I) with 1-amino-2-methoxy-1-cyclobutene-3,4-dione (II) in methanol, followed by treatment with HCl.

Drug Information Express,Drug R&D,Chemical Database,Patent Search.
Copyright © 2006-2026 Drug Future. All rights reserved.Contact Us