【药物名称】TEI-4120
化学结构式(Chemical Structure):
参考文献No.45861
标题:Acylated indole derivatives, processes for their preparation and pharmaceutical compositions and drugs comprising them
作者:Oba, T.; et al. (Teijin Ltd.)
来源:EP 0022634; JP 8107762; JP 81108765; JP 8139068; JP 8151452; JP 8163960
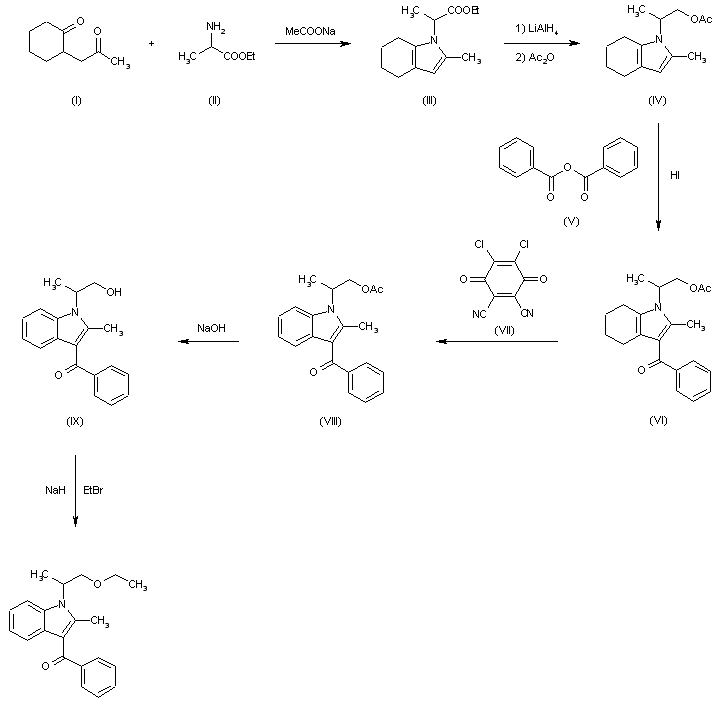
合成路线图解说明:

The cyclization of 2-acetonylcyclohexanone (I) with alanine ethyl ester (II) by means of sodium acetate in refluxing acetic acid gives ethyl 2-(4,5,6,7-tetrahydro-2-methylindol-1-yl)propionate (III), which is reduced with LiAlH4 in ether and acetylated with acetic anhydride in pyridine yielding 1-(1-acetoxy-2-propyl)-2-methyl-4,5,6,7-tetrahydroindole (IV). The benzoylation of (IV) with benzoic anhydride (V) and HI at 145 C affords 1-(1-acetoxy-2-propyl)-3-benzoyl-2-methyl-4,5,6,7-tetrahydroindole (VI), which is aromatized by treatment with 2,3-dichloro-5,6-dicyanobenzoquinone (VII) in refluxing dioxane to afford 1-(1-acetoxy-2-propyl)-3-benzoyl-2-methylindole (VIII) The hydrolysis of (VIII) with NaOH in methanol water gives 1-(1-hydroxy-2-propyl)-3-benzoyl-2-methylindole (IX), which is finally alkylated with ethyl bromide by means of NaH in dimethoxyethane.

参考文献No.74438
标题:TEI-4120
作者:Casta馿r, J.; Serradell, M.N.; Owen, R.T.
来源:Drugs Fut 1985,10(2),129
合成路线图解说明:

The cyclization of 2-acetonylcyclohexanone (I) with alanine ethyl ester (II) by means of sodium acetate in refluxing acetic acid gives ethyl 2-(4,5,6,7-tetrahydro-2-methylindol-1-yl)propionate (III), which is reduced with LiAlH4 in ether and acetylated with acetic anhydride in pyridine yielding 1-(1-acetoxy-2-propyl)-2-methyl-4,5,6,7-tetrahydroindole (IV). The benzoylation of (IV) with benzoic anhydride (V) and HI at 145 C affords 1-(1-acetoxy-2-propyl)-3-benzoyl-2-methyl-4,5,6,7-tetrahydroindole (VI), which is aromatized by treatment with 2,3-dichloro-5,6-dicyanobenzoquinone (VII) in refluxing dioxane to afford 1-(1-acetoxy-2-propyl)-3-benzoyl-2-methylindole (VIII) The hydrolysis of (VIII) with NaOH in methanol water gives 1-(1-hydroxy-2-propyl)-3-benzoyl-2-methylindole (IX), which is finally alkylated with ethyl bromide by means of NaH in dimethoxyethane.

Drug Information Express,Drug R&D,Chemical Database,Patent Search.
Copyright © 2006-2026 Drug Future. All rights reserved.Contact Us