【药物名称】LM-1554
化学结构式(Chemical Structure):
参考文献No.74441
标题:LM-1554
作者:Arya, V.P.
来源:Drugs Fut 1985,10(2),123
合成路线图解说明:

LM-1554 is synthesized by condensation of 2-amino-3-carbethoxy-4,5,6,7-tetrahydrobenzo[b]thiophene (I) with chloroacetonitrile (III) in the presence of dry hydrogen chloride gas followed by basification. Alternatively, 2-amino-3-carbamoyl-4,5,6,7-tetrahydrobenzo[b]thiophene (IV) can be condensed with chloroacetonitrile (III) under the above reaction conditions. The condensation of (I) with chloroacetamide (II) in the presence of an equivalent of phosphorus oxychloride in chloroform followed by basification also yields LM-1554.

参考文献No.700548
标题:Process for the manufacture of pharmacologically active new heterocyclic compounds and salts thereof
作者:Shishoo, C.J.; et al.
来源:IN 151496
合成路线图解说明:

LM-1554 is synthesized by condensation of 2-amino-3-carbethoxy-4,5,6,7-tetrahydrobenzo[b]thiophene (I) with chloroacetonitrile (III) in the presence of dry hydrogen chloride gas followed by basification. Alternatively, 2-amino-3-carbamoyl-4,5,6,7-tetrahydrobenzo[b]thiophene (IV) can be condensed with chloroacetonitrile (III) under the above reaction conditions. The condensation of (I) with chloroacetamide (II) in the presence of an equivalent of phosphorus oxychloride in chloroform followed by basification also yields LM-1554.

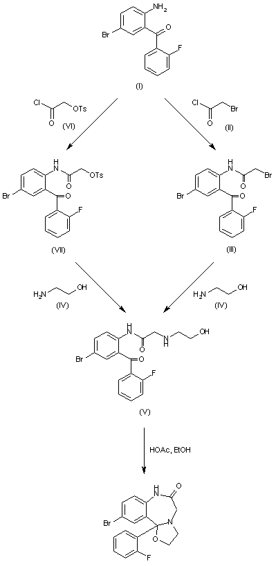
合成路线图解说明:

By reaction of 2-aminobenzophenones (I) with bromoacetyl halide (II) or tosyloxyacetyl halide (VI) to give, respectively, 2-(bromoacetylamino)benzophenones (III) or 2-(tosyloxyacetylamino)benzophenones (VII), which are treated with ethanolamine (IV) to give the compounds (V), which with acetic acid in ethanol give the desired compounds. These compounds can also be obtained from (III) and (VI) without isolation of (V)

Drug Information Express,Drug R&D,Chemical Database,Patent Search.
Copyright © 2006-2026 Drug Future. All rights reserved.Contact Us