【药物名称】Methosorbinil, M-79175, E-0722
化学结构式(Chemical Structure):
参考文献No.5042
标题:Hydantoin derivatives, processes for preparing them and pharmaceutical compositions containing them
作者:Ueda, K.; Nomura, K.; Tanaka, S.; Nakai, N. (Eisai Co., Ltd.)
来源:EP 0193855; JP 61197581
合成路线图解说明:

1) The cyclization of 4-fluorophenol (I) with chronic acid (II) by means of polyphosphonic acid (PPA) at 120 C gives 6-fluoro-2-methyl-chroman-4-one (III), which is then condensed with KCN and ammonium carbonate in hot acetamide.

参考文献No.9823
标题:Treating complications of diabetes mellitus with hydantoin derivatives
作者:Ueda, K.; et al. (Eisai Co., Ltd.)
来源:BE 889698; DE 3128606; FR 2487353; GB 2080304; JP 57045185; US 4780472; US 4874869
合成路线图解说明:

1) The cyclization of 4-fluorophenol (I) with chronic acid (II) by means of polyphosphonic acid (PPA) at 120 C gives 6-fluoro-2-methyl-chroman-4-one (III), which is then condensed with KCN and ammonium carbonate in hot acetamide.

参考文献No.79241
标题:METHOSORBINIL
作者:Prous, J.; Casta馿r, J.
来源:Drugs Fut 1989,14(4),325
合成路线图解说明:

1) The cyclization of 4-fluorophenol (I) with chronic acid (II) by means of polyphosphonic acid (PPA) at 120 C gives 6-fluoro-2-methyl-chroman-4-one (III), which is then condensed with KCN and ammonium carbonate in hot acetamide.

合成路线图解说明:

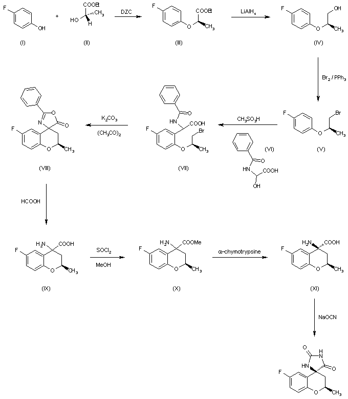
2) The condensation of 4-fluorophenol (I) with ethyl (S)-lactate (II) by means of diethyl azodicarboxylate and triphenylphosphine in THF gives ethyl 2(R)-(4-fluorophenoxy)propionate (III), which is reduced with LiAlH4 in THF yielding 2(R)-(4-fluorophenoxy)propanol (IV). The reaction of (IV) with Br2 and triphenylphosphine in DMF affords 1-bromo-2(R)-(4-fluorophenoxy)propane (V), which is condensed with N-benzoyl-2-hydroxyglycine (VI) by means of methanesulfonic acid to give (RS)-N-benzoyl-2-[2-(1-bromo-2(R)propoxy)-5-fluorophenyl]glycine (VII). The cyclization of (VII) by means of acetic anhydride and K2CO3 in acetone yields 6-fluoro-2(R)-methyl-2'-phenylspiro[2,3-dihydro-4H-1-benzopyran-4(RS),4'-oxazolidin]-5'-one (VIII), which is hydrolyzed with refluxing formic acid-HCl affording 4(RS)-amino-6-fluoro-2(R)-methyl-2,3-dihydro-4H-1-benzopyran-4-carboxylic acid (IX). The esterification of (IX) with Cl2SO and methanol gives the corresponding methyl ester (X), which is submitted to optical resolution with alpha-chymotrypsine to yield methyl 4(S)-amino-6-fluoro-2(R)-methyl-2,3-dihydro-4H-1-benzopyran-4-carboxylate (XI). Finally, this compound is cyclized with sodium cyanate in acetic acid.

参考文献No.79284
标题:Novel synthesis of the aldose reductase inhibitor sorbinil via amidoalkylation, intramolecular oxazolidin-5-one alkylation, and chymotrypsin resolution
作者:Moore, B.S.; Urban, F.J.; Dirlam, N.L.
来源:J Org Chem 1987,52(16),3587
合成路线图解说明:

2) The condensation of 4-fluorophenol (I) with ethyl (S)-lactate (II) by means of diethyl azodicarboxylate and triphenylphosphine in THF gives ethyl 2(R)-(4-fluorophenoxy)propionate (III), which is reduced with LiAlH4 in THF yielding 2(R)-(4-fluorophenoxy)propanol (IV). The reaction of (IV) with Br2 and triphenylphosphine in DMF affords 1-bromo-2(R)-(4-fluorophenoxy)propane (V), which is condensed with N-benzoyl-2-hydroxyglycine (VI) by means of methanesulfonic acid to give (RS)-N-benzoyl-2-[2-(1-bromo-2(R)propoxy)-5-fluorophenyl]glycine (VII). The cyclization of (VII) by means of acetic anhydride and K2CO3 in acetone yields 6-fluoro-2(R)-methyl-2'-phenylspiro[2,3-dihydro-4H-1-benzopyran-4(RS),4'-oxazolidin]-5'-one (VIII), which is hydrolyzed with refluxing formic acid-HCl affording 4(RS)-amino-6-fluoro-2(R)-methyl-2,3-dihydro-4H-1-benzopyran-4-carboxylic acid (IX). The esterification of (IX) with Cl2SO and methanol gives the corresponding methyl ester (X), which is submitted to optical resolution with alpha-chymotrypsine to yield methyl 4(S)-amino-6-fluoro-2(R)-methyl-2,3-dihydro-4H-1-benzopyran-4-carboxylate (XI). Finally, this compound is cyclized with sodium cyanate in acetic acid.

Drug Information Express,Drug R&D,Chemical Database,Patent Search.
Copyright © 2006-2026 Drug Future. All rights reserved.Contact Us