【药物名称】Cicloprolol hydrochloride, SL-7517710
化学结构式(Chemical Structure):
参考文献No.75176
标题:Cicloprolol Hydrocloride
作者:Leclerc, G.
来源:Drugs Fut 1985,10(12),975
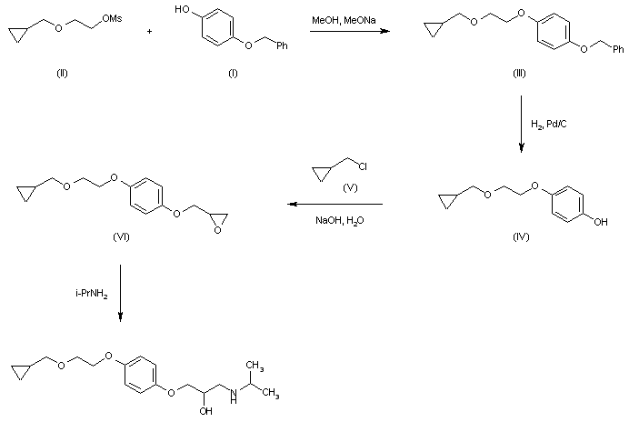
合成路线图解说明:

The alkylation of 4-benzyloxyphenol (I) with 2-(cyclopropylmethoxy)ethyl mesylate (II) by means of NaOCH3 in refluxing methanol gives 4-[2-(cyclopropylmethoxy)-1-ethoxy]phenylmethoxybenzene (III), which is debenzylated by hydrogenolysis with H2 over PdC in methanol yielding 4-[2-(cyclopropylmethoxy)-1-ethoxy]phenol (IV). The treatment of (IV) with epichlorohydrin (V) in aqueous NaOH affords 1-[4-[2-(cyclopropylmethoxy)ethoxyphenoxy]-2,3-epoxy]propane (VI). Finally, this compound is treated with an excess of isopropylamine at room temperature to yield cicloprolol.

Drug Information Express,Drug R&D,Chemical Database,Patent Search.
Copyright © 2006-2026 Drug Future. All rights reserved.Contact Us