【药物名称】M-6434
化学结构式(Chemical Structure):
参考文献No.47477
标题:Compsns. containing azo cpds. and use thereof for therapeutic treatment
作者:Mochida, E.; Suzuki, Y.; Onishi, H.; Kosuzume, H. (Mochida Pharmaceutical Co., Ltd.)
来源:GB 2057874
合成路线图解说明:

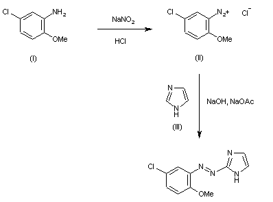
The diazotation of 2-amino-4-chloroanisole (I) with NaNO2 and HCl in water gives the corresponding diazonium salt (II), which is then condensed with imidazole (III) by means of NaOH and sodium acetate in water.

参考文献No.47478
标题:Azo cpds.
作者:Niimura, I.; Maeda, S.; Okazaki, H. (Mochida Pharmaceutical Co., Ltd.)
来源:DE 3028928
合成路线图解说明:

The diazotation of 2-amino-4-chloroanisole (I) with NaNO2 and HCl in water gives the corresponding diazonium salt (II), which is then condensed with imidazole (III) by means of NaOH and sodium acetate in water.

参考文献No.75201
标题:M-6434
作者:Blancafort, P.; Serradell, M.N.; Grau, M.; Casta馿r, J.
来源:Drugs Fut 1982,7(12),887
合成路线图解说明:

The diazotation of 2-amino-4-chloroanisole (I) with NaNO2 and HCl in water gives the corresponding diazonium salt (II), which is then condensed with imidazole (III) by means of NaOH and sodium acetate in water.

Drug Information Express,Drug R&D,Chemical Database,Patent Search.
Copyright © 2006-2026 Drug Future. All rights reserved.Contact Us