【药物名称】Clofilium phosphate, LY-150378
化学结构式(Chemical Structure):
参考文献No.75203
标题:Clofilium Phosphate
作者:Hillier, K.; Casta馿r, J.
来源:Drugs Fut 1981,6(12),764
合成路线图解说明:

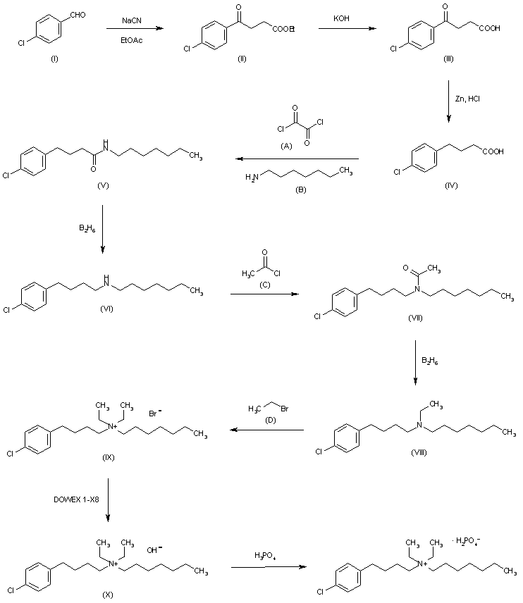
The reaction of p-chlorobenzaldehyde (I) sodium cyanide and ethyl acetate gives ethyl 4-(p-chlorophenyl)-4-oxobutyrate (II), which is hydrolyzed with KOH to the corresponding free acid (III). The reduction of (III) with Zn and aqueous HCl affords 4-(p-chlorophenyl)butyric acid (IV), which is condensed with heptylamine (B) by means of oxalyl chloride (A) in refluxing benzene to yield N-heptyl-4-(p-chlorophenyl)butyramide (V), which is reduced with diborane in refluxing THF to afford N-heptyl-4-(p-chlorophenyl)butylamine (VI). The acetylation of (VI) with acetyl chloride (C) by means of Na2CO3 in acetone gives N-acetyl-N-heptyl-4-(p-chlorophenyl)butylamine (VII), which is reduced with diborane as before to yield N-ethyl-N-heptyl-4-(p-chlorophenyl)butylamine (VIII). The quaternization of (VIII) with refluxing ethyl bromide (D) gives N,N-diethyl-N-heptyl-4-(p-chlorophenyl)butylammonium bromide (IX), which by elution through a column with Dowex 1-X8, hydroxide form, resin is converted into N,N-diethyl-N-heptyl-4-(p-chlorophenyl)butyl ammonium hydroxide (X). Finally, this compound is salified with diluted aqueous phosphoric acid.

参考文献No.701491
标题:
作者:Molloy, B.B.; Steinberg, M.I.
来源:EP 0002604
合成路线图解说明:

The reaction of p-chlorobenzaldehyde (I) sodium cyanide and ethyl acetate gives ethyl 4-(p-chlorophenyl)-4-oxobutyrate (II), which is hydrolyzed with KOH to the corresponding free acid (III). The reduction of (III) with Zn and aqueous HCl affords 4-(p-chlorophenyl)butyric acid (IV), which is condensed with heptylamine (B) by means of oxalyl chloride (A) in refluxing benzene to yield N-heptyl-4-(p-chlorophenyl)butyramide (V), which is reduced with diborane in refluxing THF to afford N-heptyl-4-(p-chlorophenyl)butylamine (VI). The acetylation of (VI) with acetyl chloride (C) by means of Na2CO3 in acetone gives N-acetyl-N-heptyl-4-(p-chlorophenyl)butylamine (VII), which is reduced with diborane as before to yield N-ethyl-N-heptyl-4-(p-chlorophenyl)butylamine (VIII). The quaternization of (VIII) with refluxing ethyl bromide (D) gives N,N-diethyl-N-heptyl-4-(p-chlorophenyl)butylammonium bromide (IX), which by elution through a column with Dowex 1-X8, hydroxide form, resin is converted into N,N-diethyl-N-heptyl-4-(p-chlorophenyl)butyl ammonium hydroxide (X). Finally, this compound is salified with diluted aqueous phosphoric acid.

Drug Information Express,Drug R&D,Chemical Database,Patent Search.
Copyright © 2006-2026 Drug Future. All rights reserved.Contact Us