【药物名称】Glutaurine, Litoralon
化学结构式(Chemical Structure):
参考文献No.46044
标题:Method of preparing gamma-L-glutamyl taurine
作者:Feuer, L.; et al. (Chinoin Pharmaceutical and Chemical Works Co., Ltd.)
来源:US 4110441
合成路线图解说明:

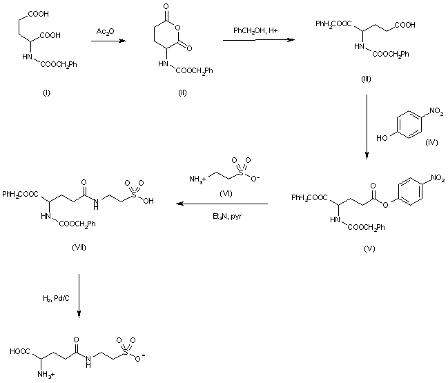
N-carbobenzyloxy-L-glutamic acid (I) is converted to the anhydride (II). Reaction of (II) with benzyl alcohol gives a mixture of half esters from which the halt ester (III) is isolated as the dicyclohexylamine salt. (III) is esterified with 4-nitrophenol (IV) with the aid of dicyclohexyl carbodiimide and the product (V) is reacted with taurine (VI). Deprotection of the resulting peptide (VII) by catalytic debenzylation affords glutaurine.

参考文献No.70590
标题:Glutaurine
作者:N骻r醖i, M.
来源:Drugs Fut 1984,9(2),110
合成路线图解说明:

N-carbobenzyloxy-L-glutamic acid (I) is converted to the anhydride (II). Reaction of (II) with benzyl alcohol gives a mixture of half esters from which the halt ester (III) is isolated as the dicyclohexylamine salt. (III) is esterified with 4-nitrophenol (IV) with the aid of dicyclohexyl carbodiimide and the product (V) is reacted with taurine (VI). Deprotection of the resulting peptide (VII) by catalytic debenzylation affords glutaurine.

Drug Information Express,Drug R&D,Chemical Database,Patent Search.
Copyright © 2006-2026 Drug Future. All rights reserved.Contact Us