【药物名称】DAMP-ES
化学结构式(Chemical Structure):
参考文献No.69385
标题:DAMP-ES
作者:Blancafort, P.; Serradell, M.N.; Hopkins, S.J.; Casta馿r, J.
来源:Drugs Fut 1983,8(4),310
合成路线图解说明:

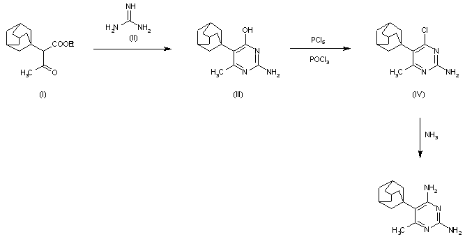
The cyclization of ethyl 2-(1-adamantyl)acetoacetate (I) with guanidine (II) gives 2-amino-4-hydroxy-5-(1-adamantyl)-6-methylpyrimidine (III), which by treatment with PCl5 in refluxing POCl3 is converted into 2-amino-4-chloro-5-(1-adamantyl)-6-methylpyrimidine (IV). Finally, this compound is treated with NH3 in ethanol, and with ethanesulfonic acid.

参考文献No.607581
标题:Synthesis and biological activity of some 5-substituted 2,4-diamino-6-alkylpyrimidines
作者:Jonak, J.P.; Zakrzewski, S.F.; Mead, L.H.
来源:J Med Chem 1972,15(6),662-665
合成路线图解说明:

The cyclization of ethyl 2-(1-adamantyl)acetoacetate (I) with guanidine (II) gives 2-amino-4-hydroxy-5-(1-adamantyl)-6-methylpyrimidine (III), which by treatment with PCl5 in refluxing POCl3 is converted into 2-amino-4-chloro-5-(1-adamantyl)-6-methylpyrimidine (IV). Finally, this compound is treated with NH3 in ethanol, and with ethanesulfonic acid.

参考文献No.607657
标题:Synthesis and biological activity of some 5-(1-adamantyl)pyrimidines
作者:Jonak, J.P.; Zakrzewski, S.F.; Mead, L.H.
来源:J Med Chem 1971,14(5),408-411
合成路线图解说明:

The cyclization of ethyl 2-(1-adamantyl)acetoacetate (I) with guanidine (II) gives 2-amino-4-hydroxy-5-(1-adamantyl)-6-methylpyrimidine (III), which by treatment with PCl5 in refluxing POCl3 is converted into 2-amino-4-chloro-5-(1-adamantyl)-6-methylpyrimidine (IV). Finally, this compound is treated with NH3 in ethanol, and with ethanesulfonic acid.

Drug Information Express,Drug R&D,Chemical Database,Patent Search.
Copyright © 2006-2026 Drug Future. All rights reserved.Contact Us