【药物名称】Fezolamine fumarate, Win-41528-2
化学结构式(Chemical Structure):
参考文献No.39874
标题:1-Amino-lower-alkyl-3,4-diphenyl-1H-pyrazoles
作者:Bailey, D.M. (Sanofi-Synth閘abo)
来源:US 4182895
合成路线图解说明:

1) The condensation of 3,4-diphenylpyrazole (I) with acrylonitrile (II) by means of benzyl-trimethyl-ammonium hydroxide (Triton B) in dioxane gives 1-(2-cyanoethyl)-3,4-diphenylpyrazole (III), which is then reductocondensed with dimethylamine by means of H2 over Pd/C in ethanol.

合成路线图解说明:

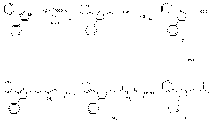
2) The condensation of (I) with methyl acrylate (IV) by means of Triton B as before gives methyl 3-(3,4-diphenylpyrazol-1-yl)propionate (V), which is saponified with KOH in refluxing methanol yielding the corresponding free acid (VI). The reaction of (VI) with SOCl2 in refluxing CHCl3 affords the acyl chloride (VII), which is treated with dimethylamine in THF to give N,N-dimethyl-3-(3,4-diphenylpyrazol-1-yl)propionamide (VIII). Finally, this compound is reduced with LiAlH4 in refluxing THF.

参考文献No.67845
标题:Fezolamine fumarate
作者:Prous, J.; Casta馿r, J.
来源:Drugs Fut 1988,13(10),913
合成路线图解说明:

1) The condensation of 3,4-diphenylpyrazole (I) with acrylonitrile (II) by means of benzyl-trimethyl-ammonium hydroxide (Triton B) in dioxane gives 1-(2-cyanoethyl)-3,4-diphenylpyrazole (III), which is then reductocondensed with dimethylamine by means of H2 over Pd/C in ethanol.

合成路线图解说明:

2) The condensation of (I) with methyl acrylate (IV) by means of Triton B as before gives methyl 3-(3,4-diphenylpyrazol-1-yl)propionate (V), which is saponified with KOH in refluxing methanol yielding the corresponding free acid (VI). The reaction of (VI) with SOCl2 in refluxing CHCl3 affords the acyl chloride (VII), which is treated with dimethylamine in THF to give N,N-dimethyl-3-(3,4-diphenylpyrazol-1-yl)propionamide (VIII). Finally, this compound is reduced with LiAlH4 in refluxing THF.

参考文献No.546596
标题:3,4-Diphenyl-1H-pyrazole-1-propanamine antidepressants
作者:Bailey, D.M.; Hansen, P.E.; Hlavac, A.G.; Baizman, E.R.; Pearl, J.; DeFelice, A.F.; Feigenson, M.E.
来源:J Med Chem 1985,28256
合成路线图解说明:

1) The condensation of 3,4-diphenylpyrazole (I) with acrylonitrile (II) by means of benzyl-trimethyl-ammonium hydroxide (Triton B) in dioxane gives 1-(2-cyanoethyl)-3,4-diphenylpyrazole (III), which is then reductocondensed with dimethylamine by means of H2 over Pd/C in ethanol.

Drug Information Express,Drug R&D,Chemical Database,Patent Search.
Copyright © 2006-2026 Drug Future. All rights reserved.Contact Us