【药物名称】Suproclone(Rec INN, USAN), 37162-RP, RP-37162
化学结构式(Chemical Structure):
参考文献No.46000
标题:Heterocyclic compounds
作者:Cotrel, C.; Crisan, C.; Jeanmart, C.; Messer, M.N. (Aventis Pharma SA)
来源:BE 0835325; DE 2550111; FR 2313060; FR 2322600; FR 2322601; FR 2322602; GB 1468497; JP 7670776; JP 7733685; JP 7998790; JP 8040671; JP 8051087; US 4220646
合成路线图解说明:

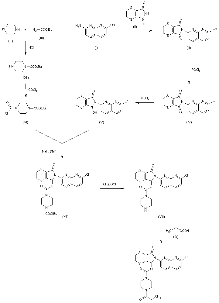
The condensation of 2-amino-7-hydroxy-1,8-naphthyridine (I) with 5,6-dihydro-1,7-dithiin-2,3-dicarboxylic acid anhydride (II) in biphenyl-diphenyl ether at 230 C gives 5,7-dioxo-8-(7-hydroxy-1,8-naphthyridin-2-yl)-2,3,6,7-tetrahydro-5H-1,4-dithiino[2,3-c]pyrrole (III), which by reaction with POCl3 at 100 C is converted to the corresponding 7-chloro derivative (IV). Partial reduction of (IV) with KBH4 in methanol yields 6-(7-chloro-1,8-naphthyridin 2-yl)-5-hydroxy-7-oxo-2,3,6,7-tetrahydro-5H-1,4-dithiino[2,3-c]pyrrole (V), which is condensed with 4-chlorocarbonyl-1-(tert-butoxycarbonyl)piperazin (VI) by means of NaH in DMF affording 5-[(4-tert-butoxycarbonylpiperazin-1-yl)carbonyloxy]-6-(7-chloro-1,8-naphthyndin-2-yl)-7-oxo-2,3,6,7-tetrahydro-5H-1,4-dithiino[2,3-c]pyrrole (VII) Deprotection of (VII) by means of trifluoroacetic acid gives 6-(7-chloro-1,8-naphthyridin-2-yl)-7-oxo-5-[(piperazin-1-yl)carbonyloxy]-2,3,6,7-tetrahydro-5H-1,4-dithino[2,3-c]pyrrole (VIII), which is finally acetylated with propionic acid (IX) by means of dicyclohexylcarbodiimide in methylene chloride. The piperazine derivative (VI) is prepared as follows: The condensation of piperazine (X) with tert-butyl azidoformate (XI) in aqueous HCl gives 1-(tert-butoxycarbonyl)piperazine (XII), which is then condensed with phosgene in anhydrous toluene.

合成路线图解说明:

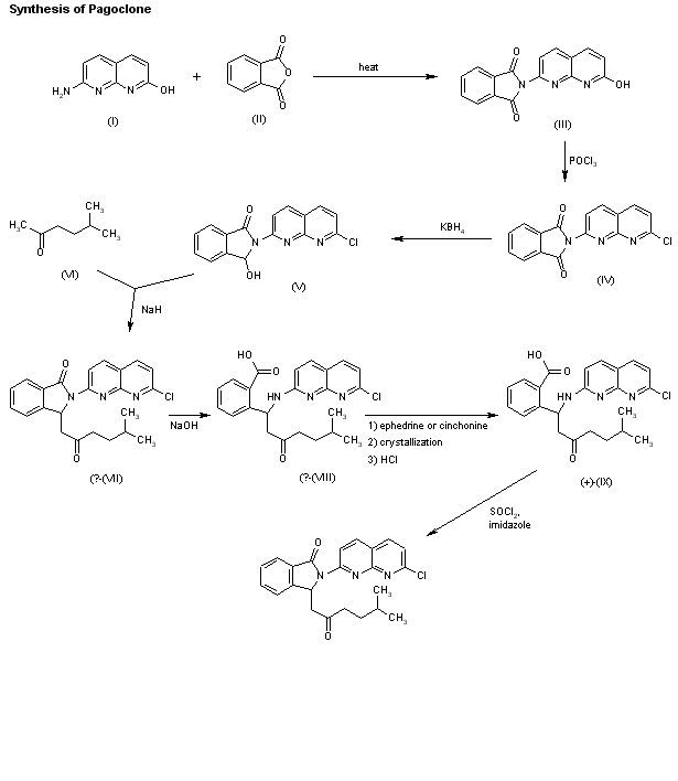
Condensation of 7-hydroxy-1,8-naphthyridin-2-amine (I) with phthalic anhydride (II) in refluxing acetic acid gives N-(7-hydroxy-1,8-naphthyridin-2-yl)phthalimide (III), which is treated with refluxing POCl3 to yield the 7-chloro derivative (IV). Reduction of compound (IV) with KBH4 in dioxane affords 2-(7-chloro-1,8-naphthyridin-2-yl)-3-hydroxyisoindolin-1-one (V), which is condensed with 5-methyl-2-hexanone (VI) by means of NaH in DMF to give (?-2-(7-chloro-1,8-naphthyridin-2-yl)-3-(5-methyl-2-oxohexyl)isoindolin-1-one (VII) (racemic pagoclone). The treatment of (VII) with NaOH in dioxane/water yields the racemic benzoic acid (VIII). Optical resolution of racemic (VIII) by means of (+)-ephedrine or cinchonine affords the (+)-isomer (IX), which is finally cyclized to the chiral (+)-indolinone derivative pagoclone by means of SOCl2 and imidazole in dichloromethane.

参考文献No.66949
标题:Suproclone
作者:Serradell, M.N.; Casta馿r, J.
来源:Drugs Fut 1985,10(1),45
合成路线图解说明:

The condensation of 2-amino-7-hydroxy-1,8-naphthyridine (I) with 5,6-dihydro-1,7-dithiin-2,3-dicarboxylic acid anhydride (II) in biphenyl-diphenyl ether at 230 C gives 5,7-dioxo-8-(7-hydroxy-1,8-naphthyridin-2-yl)-2,3,6,7-tetrahydro-5H-1,4-dithiino[2,3-c]pyrrole (III), which by reaction with POCl3 at 100 C is converted to the corresponding 7-chloro derivative (IV). Partial reduction of (IV) with KBH4 in methanol yields 6-(7-chloro-1,8-naphthyridin 2-yl)-5-hydroxy-7-oxo-2,3,6,7-tetrahydro-5H-1,4-dithiino[2,3-c]pyrrole (V), which is condensed with 4-chlorocarbonyl-1-(tert-butoxycarbonyl)piperazin (VI) by means of NaH in DMF affording 5-[(4-tert-butoxycarbonylpiperazin-1-yl)carbonyloxy]-6-(7-chloro-1,8-naphthyndin-2-yl)-7-oxo-2,3,6,7-tetrahydro-5H-1,4-dithiino[2,3-c]pyrrole (VII) Deprotection of (VII) by means of trifluoroacetic acid gives 6-(7-chloro-1,8-naphthyridin-2-yl)-7-oxo-5-[(piperazin-1-yl)carbonyloxy]-2,3,6,7-tetrahydro-5H-1,4-dithino[2,3-c]pyrrole (VIII), which is finally acetylated with propionic acid (IX) by means of dicyclohexylcarbodiimide in methylene chloride. The piperazine derivative (VI) is prepared as follows: The condensation of piperazine (X) with tert-butyl azidoformate (XI) in aqueous HCl gives 1-(tert-butoxycarbonyl)piperazine (XII), which is then condensed with phosgene in anhydrous toluene.

Drug Information Express,Drug R&D,Chemical Database,Patent Search.
Copyright © 2006-2026 Drug Future. All rights reserved.Contact Us