【药物名称】SK&F-88046
化学结构式(Chemical Structure):
参考文献No.45999
标题:N,N'-Bis[substituted-1,2,3,4-tetrahydroisoquinolino]disulfonylimides and antiallergic compositions and method of use
作者:Ali Fadia, E. (SmithKline Beecham Corp.)
来源:DD 158240; EP 0038177; US 4135935
合成路线图解说明:

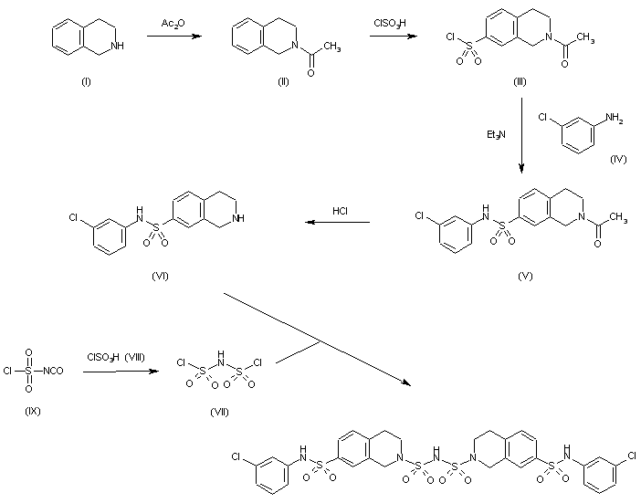
The acetylation of 1,2,3,4-tetrahydroisoquinoline (I) with acetic anhydride gives 2-acetyl-1,2,3,4-tetrahydroisoquinoline (II), which is sulfonated with chloro sulfonic acid in methylene chloride yielding 2-acetyl-7-chlorosulfonyl-1,2,3,4-tetrahydroisoquinoline (III). The reaction of (III) with 3-chloroaniline (IV) and triethylamine in refluxing acetone affords 2-acetyl-7-(3-chlorophenylamino sulfonyl)-1,2,3,4-tetrahydroisoquinoline (V), which is deacetylated by a treatment with HCl in refluxing butanol to 7-(3-chlorophenylaminosulfonyl)-1,2,3,4-tetrahydroisoquinoline (VI). Finally, this compound is condensed with bis(chlorosulfonyl)imide (VII) [prepared with chlorosulfonic acid (VIII) and chlorosulfonyl isocyanate (IX)] in acetonitrile containing triethylamine.

参考文献No.66947
标题:SKF-88046
作者:Serradell, M.N.; Chu, S.S.; Casta馿r, J.
来源:Drugs Fut 1985,10(1),42
合成路线图解说明:

The acetylation of 1,2,3,4-tetrahydroisoquinoline (I) with acetic anhydride gives 2-acetyl-1,2,3,4-tetrahydroisoquinoline (II), which is sulfonated with chloro sulfonic acid in methylene chloride yielding 2-acetyl-7-chlorosulfonyl-1,2,3,4-tetrahydroisoquinoline (III). The reaction of (III) with 3-chloroaniline (IV) and triethylamine in refluxing acetone affords 2-acetyl-7-(3-chlorophenylamino sulfonyl)-1,2,3,4-tetrahydroisoquinoline (V), which is deacetylated by a treatment with HCl in refluxing butanol to 7-(3-chlorophenylaminosulfonyl)-1,2,3,4-tetrahydroisoquinoline (VI). Finally, this compound is condensed with bis(chlorosulfonyl)imide (VII) [prepared with chlorosulfonic acid (VIII) and chlorosulfonyl isocyanate (IX)] in acetonitrile containing triethylamine.

Drug Information Express,Drug R&D,Chemical Database,Patent Search.
Copyright © 2006-2026 Drug Future. All rights reserved.Contact Us