【药物名称】GYKI-11679, RGH-5526
化学结构式(Chemical Structure):
参考文献No.45869
标题:Morpholino pyridazinylhydrazones
作者:Szilagyi, G.; et al. (Gedeon Richter Ltd.)
来源:DE 2825861; FR 2394535; GB 2000125; HU 176972; JP 54016486; US 4259328; US 4308386
合成路线图解说明:

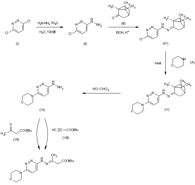
Heating of 3,6-dichloropyridazine (I) with hydrazine hydrate at 100 C gives 6-chloro-3-pyridazinylhydrazine (II). The hydrazino group is protected by transforming it with camphor (III) to the camphorhydrazone (IV), which is aminated by heating with morpholine to give the morpholinylhydrazone (V). After liberating the hydrazine function by acidic hydrolysis in a biphasic system, the resulting 6-morpholino-3-pyridazinylhydrazine (VI) is reacted either with tert-butylacetoacetate (VII) or with tert-butylpropiolate (VIII) to yield RGH-5526.

参考文献No.66962
标题:RGH-5526
作者:N骻r醖i, M.
来源:Drugs Fut 1985,10(1),32
合成路线图解说明:

Heating of 3,6-dichloropyridazine (I) with hydrazine hydrate at 100 C gives 6-chloro-3-pyridazinylhydrazine (II). The hydrazino group is protected by transforming it with camphor (III) to the camphorhydrazone (IV), which is aminated by heating with morpholine to give the morpholinylhydrazone (V). After liberating the hydrazine function by acidic hydrolysis in a biphasic system, the resulting 6-morpholino-3-pyridazinylhydrazine (VI) is reacted either with tert-butylacetoacetate (VII) or with tert-butylpropiolate (VIII) to yield RGH-5526.

参考文献No.700532
标题:
作者:Inoue, H.; Yoshida, M.; Aizawa, H.; et al.
来源:Eur J Med Chem 1984,19(6),111-117
合成路线图解说明:

Heating of 3,6-dichloropyridazine (I) with hydrazine hydrate at 100 C gives 6-chloro-3-pyridazinylhydrazine (II). The hydrazino group is protected by transforming it with camphor (III) to the camphorhydrazone (IV), which is aminated by heating with morpholine to give the morpholinylhydrazone (V). After liberating the hydrazine function by acidic hydrolysis in a biphasic system, the resulting 6-morpholino-3-pyridazinylhydrazine (VI) is reacted either with tert-butylacetoacetate (VII) or with tert-butylpropiolate (VIII) to yield RGH-5526.

Drug Information Express,Drug R&D,Chemical Database,Patent Search.
Copyright © 2006-2026 Drug Future. All rights reserved.Contact Us