【药物名称】LY-178207(free base), GYKI-14451
化学结构式(Chemical Structure):
参考文献No.45868
标题:D-Phenylalanyl-L-prolyl-L-arginine aldehyde sulfate and process for the preparation thereof
作者:Bajusz, S.; Szell, E.; Barabas, E.; Bagdy, D. (Gedeon Richter Ltd.)
来源:DE 3200812; FR 2497799; GB 2091270; JP 57181046; US 4399065; US 4478745
合成路线图解说明:

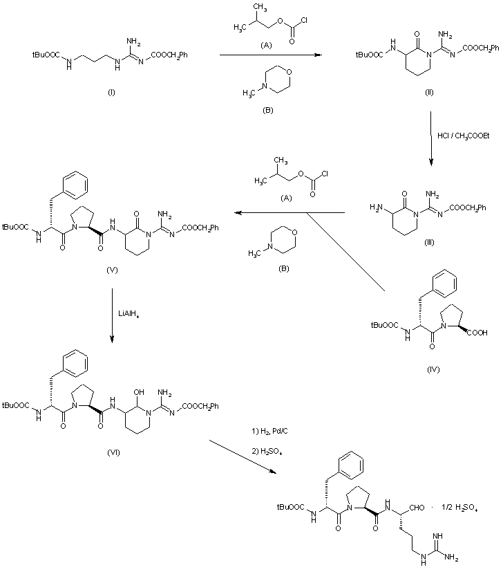
N2-tert-Butoxycarbonyl-N6-benzyloxycarbonyl-L-arginine (I) is converted by treatment with isobutyl oxycarbonyl chloride (A) and N-methylmorpholine (B) to the lactam (II), and the tert-butoxycarbonyl group is cleaved off to give the aminolactam (III), which is coupled with N-tert-butoxycarbonyl-D-phenylalanyl-L-proline (IV) to the tripeptide (V) using the mixed anhydride method as in the first step. The lactam carbonyl is reduced with LiAlH4 to an aldehyde group present as the cyclic a aminoalcohol (VI). Removal of the benzyloxycarbonyl blocking group provides GYKI-14451. In solution the aldehyde group is either in the cyclic alpha-aminoalcohol form or is hydrated.

参考文献No.66958
标题:GYKI-14451
作者:N骻r醖i, M.
来源:Drugs Fut 1985,10(1),23
合成路线图解说明:

N2-tert-Butoxycarbonyl-N6-benzyloxycarbonyl-L-arginine (I) is converted by treatment with isobutyl oxycarbonyl chloride (A) and N-methylmorpholine (B) to the lactam (II), and the tert-butoxycarbonyl group is cleaved off to give the aminolactam (III), which is coupled with N-tert-butoxycarbonyl-D-phenylalanyl-L-proline (IV) to the tripeptide (V) using the mixed anhydride method as in the first step. The lactam carbonyl is reduced with LiAlH4 to an aldehyde group present as the cyclic a aminoalcohol (VI). Removal of the benzyloxycarbonyl blocking group provides GYKI-14451. In solution the aldehyde group is either in the cyclic alpha-aminoalcohol form or is hydrated.

参考文献No.700534
标题:
作者:Voutilainen, S.; Valkonen, V.P.; Venho, B.; et al.
来源:Magy K閙 Lapja 1982,27(2),358-365
合成路线图解说明:

N2-tert-Butoxycarbonyl-N6-benzyloxycarbonyl-L-arginine (I) is converted by treatment with isobutyl oxycarbonyl chloride (A) and N-methylmorpholine (B) to the lactam (II), and the tert-butoxycarbonyl group is cleaved off to give the aminolactam (III), which is coupled with N-tert-butoxycarbonyl-D-phenylalanyl-L-proline (IV) to the tripeptide (V) using the mixed anhydride method as in the first step. The lactam carbonyl is reduced with LiAlH4 to an aldehyde group present as the cyclic a aminoalcohol (VI). Removal of the benzyloxycarbonyl blocking group provides GYKI-14451. In solution the aldehyde group is either in the cyclic alpha-aminoalcohol form or is hydrated.

Drug Information Express,Drug R&D,Chemical Database,Patent Search.
Copyright © 2006-2026 Drug Future. All rights reserved.Contact Us