【药物名称】LL-11204, DL-204-IT
化学结构式(Chemical Structure):
参考文献No.122
标题:2-Substd. phenyl-5-triazols[5,1-a]isoquinoline cpds
作者:Consonni, P.; Lerner, L.; Omodei-Sal? A. (Lepetit SpA)
来源:US 4075341
合成路线图解说明:

By cyclization of 2-amino-3,4-dihydro-1(2H)-isoquinolinone (I) with m-ethoxybenzimidic acid ethyl ester (II) at 125 C.

合成路线图解说明:

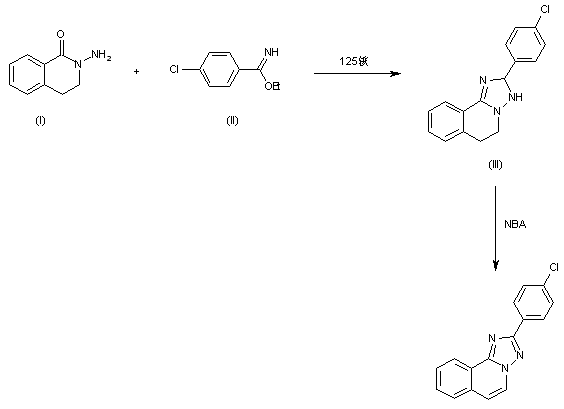
The cyclization of 2-amino-3,4-dihydro-1(2H)-isoquinolinone (I) with ethyl 4-chlorobenzimidate (II) by heating at 125 C under vacuum gives 2-(4-chloro-phenyl)-5,6-dihydro-s-triazolo[5,1-a]isoquinoline (III), which is dehydrogenated by means of N-bromoacetamide in refluxing CCl4.

参考文献No.47485
标题:Antifertility methods employing triazoloisoquinoline derivs.
作者:Lerner, L.; Omodei-Sale, A.; Consonni, P. (Lepetit SpA)
来源:DE 2424572
合成路线图解说明:

By cyclization of 2-amino-3,4-dihydro-1(2H)-isoquinolinone (I) with m-ethoxybenzimidic acid ethyl ester (II) at 125 C.

参考文献No.66941
标题:DL-204-IT
作者:Blancafort, P.; Serradell, M.N.; Casta馿r, J.; Hillier, K.
来源:Drugs Fut 1981,6(1),23
合成路线图解说明:

By cyclization of 2-amino-3,4-dihydro-1(2H)-isoquinolinone (I) with m-ethoxybenzimidic acid ethyl ester (II) at 125 C.

Drug Information Express,Drug R&D,Chemical Database,Patent Search.
Copyright © 2006-2026 Drug Future. All rights reserved.Contact Us