【药物名称】RX-77368
化学结构式(Chemical Structure):
参考文献No.66345
标题:RX-77,368
作者:Casta馿r, J.; Blancafort, P.; Serradell, M.N.
来源:Drugs Fut 1982,7(3),167
合成路线图解说明:

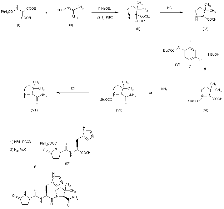
The cyclization of diethyl benzyloxycarbonylaminomalonate (I) with 3-methyl-2-butenal (II) by means of sodium ethoxide in ethanol, followed by hydrogenation with H2 over Pd/C in acetic acid gives 2,2-dicarbethoxy-3,3-dimethylpyrrolidine (III), which by a decarboxylative hydrolysis with refluxing aqueous 5M HCl is converted into 3,3-dimethylproline (IV). The protection of the amino group of (IV) with tert-butyl-2,4,5-trichlorophenyl carbonate (V) in hot tert-butanol - water yields N-tert-butoxycarbonyl-3,3-dimethylproline (VI), which by reaction with NH3 by means of isobutyl chloroformate and N-methylmorpholine in THF is converted into N-tert-butoxycarbonyl-3,3-dimethylprolinamide (VII). The deprotection of (VII) with HCl in dioxane affords 3,3-dimethylprolinamide (VIII), which is finally condensed with benzyloxycarbonyl-L-pyroglutamylhistidine (IX) by means of 1-hydroxybenzotriazole (HBT) and dicyclohexylcarbodiimide (DCCD) in THF, and deprotected by hydrogenation with H2 over Pd/C in THF - water.

参考文献No.701297
标题:
作者:Morgan, B.A.; Shafer, D.J.
来源:US 4060603
合成路线图解说明:

The cyclization of diethyl benzyloxycarbonylaminomalonate (I) with 3-methyl-2-butenal (II) by means of sodium ethoxide in ethanol, followed by hydrogenation with H2 over Pd/C in acetic acid gives 2,2-dicarbethoxy-3,3-dimethylpyrrolidine (III), which by a decarboxylative hydrolysis with refluxing aqueous 5M HCl is converted into 3,3-dimethylproline (IV). The protection of the amino group of (IV) with tert-butyl-2,4,5-trichlorophenyl carbonate (V) in hot tert-butanol - water yields N-tert-butoxycarbonyl-3,3-dimethylproline (VI), which by reaction with NH3 by means of isobutyl chloroformate and N-methylmorpholine in THF is converted into N-tert-butoxycarbonyl-3,3-dimethylprolinamide (VII). The deprotection of (VII) with HCl in dioxane affords 3,3-dimethylprolinamide (VIII), which is finally condensed with benzyloxycarbonyl-L-pyroglutamylhistidine (IX) by means of 1-hydroxybenzotriazole (HBT) and dicyclohexylcarbodiimide (DCCD) in THF, and deprotected by hydrogenation with H2 over Pd/C in THF - water.

Drug Information Express,Drug R&D,Chemical Database,Patent Search.
Copyright © 2006-2026 Drug Future. All rights reserved.Contact Us