【药物名称】Vadocaine hydrochloride, K-242-HCl, ORK-242-HCl
化学结构式(Chemical Structure):
参考文献No.9818
标题:Novel anilides, their process of preparation and t
作者:Kaila, J.O.W.; Honkanen, E.J.; Alberty, J.E.; Hukki, J.J. (Orion Corporation)
来源:BE 0873957; US 4353914
合成路线图解说明:

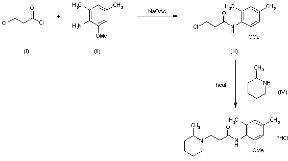
The condensation of 3-chloropropionyl chloride (I) with 2,4 dimethyl-6 methoxyaniline (II) by means of sodium acetate in glacial acetic acid gives 3-chloro-N-(2,4-dimethyl-6-methoxyphenyl)propionamide (III), which is condensed with 2-methylpiperidine (IV) in refluxing anhydrous benzene.

参考文献No.70083
标题:Vadocaine hydrochloride
作者:Prous, J.; Casta馿r, J.
来源:Drugs Fut 1988,13(10),936
合成路线图解说明:

The condensation of 3-chloropropionyl chloride (I) with 2,4 dimethyl-6 methoxyaniline (II) by means of sodium acetate in glacial acetic acid gives 3-chloro-N-(2,4-dimethyl-6-methoxyphenyl)propionamide (III), which is condensed with 2-methylpiperidine (IV) in refluxing anhydrous benzene.

Drug Information Express,Drug R&D,Chemical Database,Patent Search.
Copyright © 2006-2026 Drug Future. All rights reserved.Contact Us