【药物名称】Clomoxir ethyl(Rec INNM), B-80727(free acid Na salt), B-80706, CPOC, POCA
化学结构式(Chemical Structure):
参考文献No.47210
标题:Substd. oxiranecarboxylic acids, their use and medicaments containing them
作者:Eistetter, K.; Rapp, E. (Byk Gulden Lomberg Chemische Fabrik GmbH)
来源:US 4324796
合成路线图解说明:

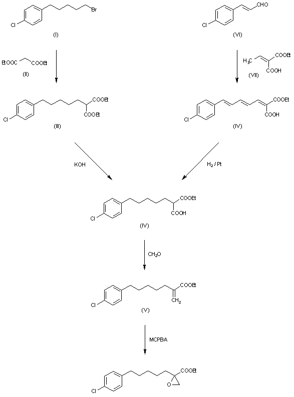
Alkylation of diethyl malonate (II) with 5-(4-chlorophenyl)pentyl bromide (I) gives diethyl 5-(4-chlorophenyl)pentyl malonate (III). Intermediate (III) is hydrolyzed to the monoester (IV), followed by condensation with paraformaldehyde in pyridine/piperidine to yield ethyl 7-(4-chlorophenyl)-2-methyleneheptanoate (V), which is oxidized with m-chloroperbenzoic acid. Alternatively, intermediate (IV) can be prepared by condensation of 4-chlorocinnamaldehyde (VI) with diethyl ethylidenemalonate (VII) to yield intermediate (VIII) and subsequent hydrogenation.

参考文献No.47211
标题:Phenylalkyloxirane carboxylic acids, preparation and therapeutical use
作者:Kohl, B.; Eistetter, K.; Amschler, H.; Ludwig, G.; Wolf, H.P.O. (Byk Gulden Lomberg Chemische Fabrik GmbH)
来源:EP 0071175
合成路线图解说明:

Alkylation of diethyl malonate (II) with 5-(4-chlorophenyl)pentyl bromide (I) gives diethyl 5-(4-chlorophenyl)pentyl malonate (III). Intermediate (III) is hydrolyzed to the monoester (IV), followed by condensation with paraformaldehyde in pyridine/piperidine to yield ethyl 7-(4-chlorophenyl)-2-methyleneheptanoate (V), which is oxidized with m-chloroperbenzoic acid. Alternatively, intermediate (IV) can be prepared by condensation of 4-chlorocinnamaldehyde (VI) with diethyl ethylidenemalonate (VII) to yield intermediate (VIII) and subsequent hydrogenation.

参考文献No.65759
标题:POCA
作者:Wolf, H.P.O.; Eistetter, K.
来源:Drugs Fut 1983,8(5),428
合成路线图解说明:

Alkylation of diethyl malonate (II) with 5-(4-chlorophenyl)pentyl bromide (I) gives diethyl 5-(4-chlorophenyl)pentyl malonate (III). Intermediate (III) is hydrolyzed to the monoester (IV), followed by condensation with paraformaldehyde in pyridine/piperidine to yield ethyl 7-(4-chlorophenyl)-2-methyleneheptanoate (V), which is oxidized with m-chloroperbenzoic acid. Alternatively, intermediate (IV) can be prepared by condensation of 4-chlorocinnamaldehyde (VI) with diethyl ethylidenemalonate (VII) to yield intermediate (VIII) and subsequent hydrogenation.

参考文献No.607576
标题:Synthesis and hypoglycaemic activity of phenylalkyloxirane carboxylic acid derivatives
作者:Eistetter, K.; Wolf, H.P.O.
来源:J Med Chem 1982,25(22),109-113
合成路线图解说明:

Alkylation of diethyl malonate (II) with 5-(4-chlorophenyl)pentyl bromide (I) gives diethyl 5-(4-chlorophenyl)pentyl malonate (III). Intermediate (III) is hydrolyzed to the monoester (IV), followed by condensation with paraformaldehyde in pyridine/piperidine to yield ethyl 7-(4-chlorophenyl)-2-methyleneheptanoate (V), which is oxidized with m-chloroperbenzoic acid. Alternatively, intermediate (IV) can be prepared by condensation of 4-chlorocinnamaldehyde (VI) with diethyl ethylidenemalonate (VII) to yield intermediate (VIII) and subsequent hydrogenation.

Drug Information Express,Drug R&D,Chemical Database,Patent Search.
Copyright © 2006-2026 Drug Future. All rights reserved.Contact Us