【药物名称】Gossypol
化学结构式(Chemical Structure):
参考文献No.65730
标题:Gossypol
作者:Leeson, P.
来源:Drugs Fut 1979,4(5),338
合成路线图解说明:

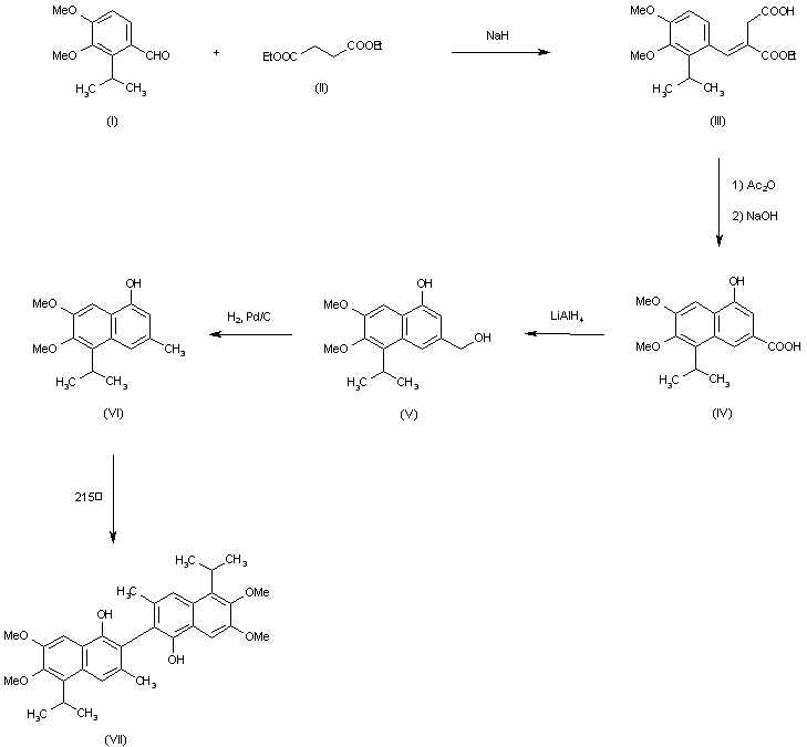
The condensation of 3,4-dimethoxy-2-isopropylbenzaldehyde (I) with diethyl succinate (II) by means of NaH in refluxing benzene gives 2-(2-isopropyl-3,4-dimethoxybenzylidene)succinic acid monoethyl ester (III), which is cyclized by treatment with acetic anhydride and sodium acetate in refluxing acetic acid and hydrolyzed with NaOH in refluxing methanol yielding acid (IV). The reduction of (IV) with LiAlH4 in ether affords 3-hydroxymethyl-5-isopropyl-6,7-dimethoxy-1-naphthol (V), which is hydrogenated with H2 over Pd/C in methanol with some HCl giving 3-methyl-5-isopropyl-6,7-dimethoxy-1-naphthol (VI). Thermal dimerization of (VI) by heating at 215 C yields 2,2'-bis(3-methyl-5-isopropyl-6,7-dimethoxy-1-naphthol) (VII).

合成路线图解说明:

Intermediate (VII) is methylated with dimethylsulfate and KOH in refluxing aqueous dioxane affording apogossypol hexamethyl ether (VIII) . The cleavage of the methoxy groups with BBr3 and aqueous NaOH yields apogossypol (IX), which by reaction with N,N'-diphenylformamidine (X) affords gossypol bis(N-phenylimine) (XI), which is finally hydrolyzed.

参考文献No.700971
标题:
作者:El-Nockrashy
来源:J Am Oil Chem Soc 1963,40(1),14
合成路线图解说明:

The condensation of 3,4-dimethoxy-2-isopropylbenzaldehyde (I) with diethyl succinate (II) by means of NaH in refluxing benzene gives 2-(2-isopropyl-3,4-dimethoxybenzylidene)succinic acid monoethyl ester (III), which is cyclized by treatment with acetic anhydride and sodium acetate in refluxing acetic acid and hydrolyzed with NaOH in refluxing methanol yielding acid (IV). The reduction of (IV) with LiAlH4 in ether affords 3-hydroxymethyl-5-isopropyl-6,7-dimethoxy-1-naphthol (V), which is hydrogenated with H2 over Pd/C in methanol with some HCl giving 3-methyl-5-isopropyl-6,7-dimethoxy-1-naphthol (VI). Thermal dimerization of (VI) by heating at 215 C yields 2,2'-bis(3-methyl-5-isopropyl-6,7-dimethoxy-1-naphthol) (VII).

合成路线图解说明:

Intermediate (VII) is methylated with dimethylsulfate and KOH in refluxing aqueous dioxane affording apogossypol hexamethyl ether (VIII) . The cleavage of the methoxy groups with BBr3 and aqueous NaOH yields apogossypol (IX), which by reaction with N,N'-diphenylformamidine (X) affords gossypol bis(N-phenylimine) (XI), which is finally hydrolyzed.

参考文献No.800249
标题:Studies in the naphtalene series. III. Synthesis of apogossypol hexamethyl ether
作者:Cashaw, J.L.; Edwards, J.D.Jr.
来源:J Am Chem Soc 1957,792283
合成路线图解说明:

The condensation of 3,4-dimethoxy-2-isopropylbenzaldehyde (I) with diethyl succinate (II) by means of NaH in refluxing benzene gives 2-(2-isopropyl-3,4-dimethoxybenzylidene)succinic acid monoethyl ester (III), which is cyclized by treatment with acetic anhydride and sodium acetate in refluxing acetic acid and hydrolyzed with NaOH in refluxing methanol yielding acid (IV). The reduction of (IV) with LiAlH4 in ether affords 3-hydroxymethyl-5-isopropyl-6,7-dimethoxy-1-naphthol (V), which is hydrogenated with H2 over Pd/C in methanol with some HCl giving 3-methyl-5-isopropyl-6,7-dimethoxy-1-naphthol (VI). Thermal dimerization of (VI) by heating at 215 C yields 2,2'-bis(3-methyl-5-isopropyl-6,7-dimethoxy-1-naphthol) (VII).

合成路线图解说明:

Intermediate (VII) is methylated with dimethylsulfate and KOH in refluxing aqueous dioxane affording apogossypol hexamethyl ether (VIII) . The cleavage of the methoxy groups with BBr3 and aqueous NaOH yields apogossypol (IX), which by reaction with N,N'-diphenylformamidine (X) affords gossypol bis(N-phenylimine) (XI), which is finally hydrolyzed.

参考文献No.800250
标题:Total synthesis of gossypol
作者:Edwards, J.D.Jr.
来源:J Am Chem Soc 1958,803798
合成路线图解说明:

The condensation of 3,4-dimethoxy-2-isopropylbenzaldehyde (I) with diethyl succinate (II) by means of NaH in refluxing benzene gives 2-(2-isopropyl-3,4-dimethoxybenzylidene)succinic acid monoethyl ester (III), which is cyclized by treatment with acetic anhydride and sodium acetate in refluxing acetic acid and hydrolyzed with NaOH in refluxing methanol yielding acid (IV). The reduction of (IV) with LiAlH4 in ether affords 3-hydroxymethyl-5-isopropyl-6,7-dimethoxy-1-naphthol (V), which is hydrogenated with H2 over Pd/C in methanol with some HCl giving 3-methyl-5-isopropyl-6,7-dimethoxy-1-naphthol (VI). Thermal dimerization of (VI) by heating at 215 C yields 2,2'-bis(3-methyl-5-isopropyl-6,7-dimethoxy-1-naphthol) (VII).

合成路线图解说明:

Intermediate (VII) is methylated with dimethylsulfate and KOH in refluxing aqueous dioxane affording apogossypol hexamethyl ether (VIII) . The cleavage of the methoxy groups with BBr3 and aqueous NaOH yields apogossypol (IX), which by reaction with N,N'-diphenylformamidine (X) affords gossypol bis(N-phenylimine) (XI), which is finally hydrolyzed.

Drug Information Express,Drug R&D,Chemical Database,Patent Search.
Copyright © 2006-2026 Drug Future. All rights reserved.Contact Us