【药物名称】Procaterol hydrochloride hemihydrate, OPC-2009(anhydrous), CI-888(anhydrous), Meptin, Procadil Aerosol, Onsukil Aerosol, Masacin Aerosol
化学结构式(Chemical Structure):
参考文献No.800551
标题:Procaterol
作者:Casta馿r, J.; Weetman, D.F.
来源:Drugs Fut 1978,3(2),135
合成路线图解说明:

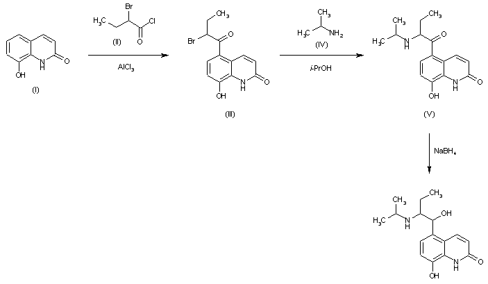
The Friedel-Crafts condensation of 8-hydroxycarbostyril (I) with 2-bromobutyryl chloride by means of AlCl3 in refluxing CS2 gives 5-(2-bromobutyryl)-8-hydroxycarbostyril (II), which by reaction with isopropylamine in isopropanol affords 5-(2-isopropylaminobutyryl)-8-hydroxycarbostyril (III). Finally, this compound is reduced with NaBH4 in methanol.

参考文献No.800552
标题:Sympathomimetic amines having a carbostyril nucleus
作者:Yoshizaki, S.; et al.
来源:J Med Chem 1976,19(9),35-45
合成路线图解说明:

The Friedel-Crafts condensation of 8-hydroxycarbostyril (I) with 2-bromobutyryl chloride by means of AlCl3 in refluxing CS2 gives 5-(2-bromobutyryl)-8-hydroxycarbostyril (II), which by reaction with isopropylamine in isopropanol affords 5-(2-isopropylaminobutyryl)-8-hydroxycarbostyril (III). Finally, this compound is reduced with NaBH4 in methanol.

参考文献No.800553
标题:D閞iv閟 de 5-(1-hydroxy-2-amino substitu?alkyl-8-carbostyryle substitu?et de 5-(1-hydroxy-2-amino substitu?alkyl-8-(3,4-dihydro)carbostyryle substitu?et leur proc閐?de pr閜aration
作者:Nakagawa, K.; et al.
来源:BE 0823841; JP 50095279
合成路线图解说明:

The Friedel-Crafts condensation of 8-hydroxycarbostyril (I) with 2-bromobutyryl chloride by means of AlCl3 in refluxing CS2 gives 5-(2-bromobutyryl)-8-hydroxycarbostyril (II), which by reaction with isopropylamine in isopropanol affords 5-(2-isopropylaminobutyryl)-8-hydroxycarbostyril (III). Finally, this compound is reduced with NaBH4 in methanol.

Drug Information Express,Drug R&D,Chemical Database,Patent Search.
Copyright © 2006-2026 Drug Future. All rights reserved.Contact Us