【药物名称】Clobenoside, ZY-15028, Floganol, Arvigol
化学结构式(Chemical Structure):
参考文献No.46466
标题:Anti-inflammatory glucose derivatives
作者:Iselin, B.; Rossi, A.; Kessler, W.; Walter, A. (Novartis Corp.)
来源:BE 0720622; DE 1793338; FR 1588563; GB 1246117; US 3655884
合成路线图解说明:

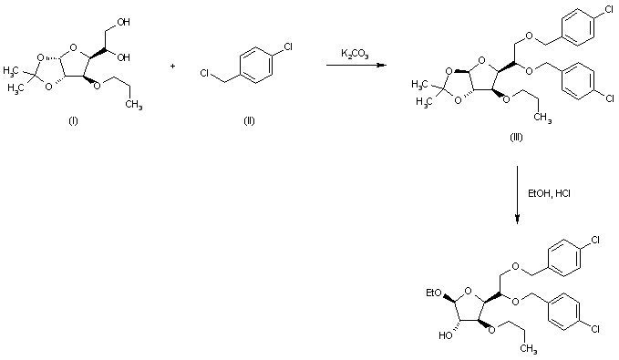
The reaction of 1,2-O-isopropylidene-3-O-propyl-alpha-D-glucofuranose (I) with 4-chlorobenzyl chloride (II) by means of KOH in hot dioxane gives 1',2-O-iso-propylidene-3-O-propyl-5,6-di-O-(4-chlorobenzyl)-alpha-D-glucofuranose (III), which is then hydrolyzed with ethanolic HCl.

参考文献No.64385
标题:Clobenoside
作者:Casta馿r, J.; Koch, H.; Serradell, M.N.
来源:Drugs Fut 1985,10(12),977
合成路线图解说明:

The reaction of 1,2-O-isopropylidene-3-O-propyl-alpha-D-glucofuranose (I) with 4-chlorobenzyl chloride (II) by means of KOH in hot dioxane gives 1',2-O-iso-propylidene-3-O-propyl-5,6-di-O-(4-chlorobenzyl)-alpha-D-glucofuranose (III), which is then hydrolyzed with ethanolic HCl.

Drug Information Express,Drug R&D,Chemical Database,Patent Search.
Copyright © 2006-2026 Drug Future. All rights reserved.Contact Us