【药物名称】Exepanol hydrochloride(Prop INNM), KC-2450
化学结构式(Chemical Structure):
参考文献No.9816
标题:Novel 3-Amino-1-benzoxepine derivs. and their salt
作者:Ohlendorf, H.-W.; Wolf, K.-U.; Kaupmann, W.; Heinemann, H. (Kali-Chemie AG)
来源:DE 2931399; EP 0024560; US 4279904
合成路线图解说明:

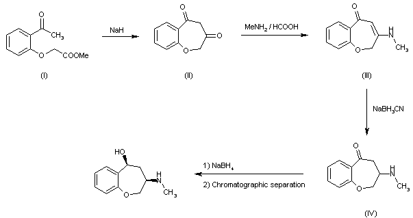
Methyl 2-acetylphenoxyacetate (I) is cyclized to 2,3,4,5-tetrahydro-1-benzoxepine-3,5 dione (II) in the presence of sodium hydride in dimethylformamide. Condensation with methylamine (catalytic amounts of formic acid) in boiling methylene chloride and subsequent reduction with sodium cyano-borohydride yields 3-methylamino-3,4-dihydro-1-benzoxepin-5(2H)-one (IV), which is reduced by sodium borohydride or lithium tri(sec-butyl)borohydride. The resulting cis/trans-mixture is separated by column chromatography.

参考文献No.68068
标题:Exepanol Hydrochloride
作者:Prous, J.; Casta馿r, J.
来源:Drugs Fut 1988,13(9),820
合成路线图解说明:

Methyl 2-acetylphenoxyacetate (I) is cyclized to 2,3,4,5-tetrahydro-1-benzoxepine-3,5 dione (II) in the presence of sodium hydride in dimethylformamide. Condensation with methylamine (catalytic amounts of formic acid) in boiling methylene chloride and subsequent reduction with sodium cyano-borohydride yields 3-methylamino-3,4-dihydro-1-benzoxepin-5(2H)-one (IV), which is reduced by sodium borohydride or lithium tri(sec-butyl)borohydride. The resulting cis/trans-mixture is separated by column chromatography.

参考文献No.546589
标题:Synthesis of 3-amino-2,3,4,5-tetrahydro-1-benzoxep
作者:Ohlendorf, H.W.; Wolf, K.-U.; Kaufmann, W.
来源:Eur J Med Chem 1985,20207
合成路线图解说明:

Methyl 2-acetylphenoxyacetate (I) is cyclized to 2,3,4,5-tetrahydro-1-benzoxepine-3,5 dione (II) in the presence of sodium hydride in dimethylformamide. Condensation with methylamine (catalytic amounts of formic acid) in boiling methylene chloride and subsequent reduction with sodium cyano-borohydride yields 3-methylamino-3,4-dihydro-1-benzoxepin-5(2H)-one (IV), which is reduced by sodium borohydride or lithium tri(sec-butyl)borohydride. The resulting cis/trans-mixture is separated by column chromatography.

Drug Information Express,Drug R&D,Chemical Database,Patent Search.
Copyright © 2006-2026 Drug Future. All rights reserved.Contact Us