【药物名称】Piberaline fumarate, EGYT-475, Trelibet
化学结构式(Chemical Structure):
参考文献No.46040
标题:Preparation of pyridinecaboxylic acid piperazides
作者:Budai, Z.; Mezei, T.; Lay, A. (Egis Pharmaceuticals Ltd.)
来源:DE 2828888; GB 2001062; HU 175075
合成路线图解说明:

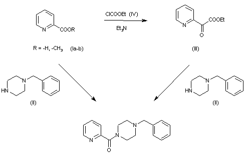
This compound can be obtained in three different ways: 1) Condensation of pyridine-2-carboxylic acid (Ia, R = H), with 1-phenyl methylpiperazine (II) at 160 C. 2) Condensation of methyl pyridine-2-carboxylate (Ib, R = CH3) with 1-phenylmethylpiperazine (II) at 140 C. 3) Reaction of 1-phenylmethylpiperazine (II) with a mixed anhydride (III) formed from (Ia) and ethyl chloroformate (IV).

参考文献No.46739
标题:Pyridine derivatives
作者:K鰎鰏i, J.; et al. (Egis Pharmaceuticals Ltd.)
来源:DE 2215545; GB 1378964; HU 162396; JP 7644957
合成路线图解说明:

This compound can be obtained in three different ways: 1) Condensation of pyridine-2-carboxylic acid (Ia, R = H), with 1-phenyl methylpiperazine (II) at 160 C. 2) Condensation of methyl pyridine-2-carboxylate (Ib, R = CH3) with 1-phenylmethylpiperazine (II) at 140 C. 3) Reaction of 1-phenylmethylpiperazine (II) with a mixed anhydride (III) formed from (Ia) and ethyl chloroformate (IV).

参考文献No.62417
标题:Piberaline
作者:N骻r醖i, M.
来源:Drugs Fut 1984,9(1),30
合成路线图解说明:

This compound can be obtained in three different ways: 1) Condensation of pyridine-2-carboxylic acid (Ia, R = H), with 1-phenyl methylpiperazine (II) at 160 C. 2) Condensation of methyl pyridine-2-carboxylate (Ib, R = CH3) with 1-phenylmethylpiperazine (II) at 140 C. 3) Reaction of 1-phenylmethylpiperazine (II) with a mixed anhydride (III) formed from (Ia) and ethyl chloroformate (IV).

参考文献No.800066
标题:Synthesis of 14C and 3H specifically labelled 1-benzyl-4-picolinoylpiperazine
作者:Budai, Z.; Z髄yomi, G.
来源:J Label Compd Radiopharm 1981,18427-432
合成路线图解说明:

This compound can be obtained in three different ways: 1) Condensation of pyridine-2-carboxylic acid (Ia, R = H), with 1-phenyl methylpiperazine (II) at 160 C. 2) Condensation of methyl pyridine-2-carboxylate (Ib, R = CH3) with 1-phenylmethylpiperazine (II) at 140 C. 3) Reaction of 1-phenylmethylpiperazine (II) with a mixed anhydride (III) formed from (Ia) and ethyl chloroformate (IV).

参考文献No.800067
标题:A novel synthesis of pyridinecarboxylic acid piperazides
作者:Budai, Z.; Mezei, T.; Lay, A.
来源:Acta Chim Acad Sci Hung 1980,105241-246
合成路线图解说明:

This compound can be obtained in three different ways: 1) Condensation of pyridine-2-carboxylic acid (Ia, R = H), with 1-phenyl methylpiperazine (II) at 160 C. 2) Condensation of methyl pyridine-2-carboxylate (Ib, R = CH3) with 1-phenylmethylpiperazine (II) at 140 C. 3) Reaction of 1-phenylmethylpiperazine (II) with a mixed anhydride (III) formed from (Ia) and ethyl chloroformate (IV).

Drug Information Express,Drug R&D,Chemical Database,Patent Search.
Copyright © 2006-2026 Drug Future. All rights reserved.Contact Us