【药物名称】SK&F-100330A
化学结构式(Chemical Structure):
参考文献No.62063
标题:SK&F-100330-A
作者:L鰏cher, W.
来源:Drugs Fut 1986,11(1),39
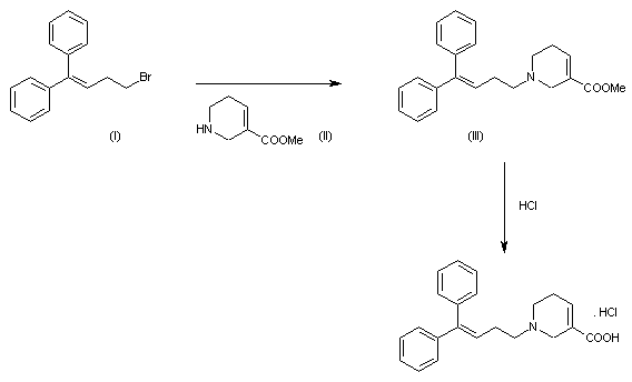
合成路线图解说明:

The methyl ester of 1,2,5,6-tetrahydro-3-pyridinecarboxylate (guvacine) (II) is N-alkylated with 4,4-diphenyl-3-butenyl bromide (I). The methyl ester of N-(4,4-diphenyl-3-butenyl)guvacine thus obtained is then hydrolvzed with HCl to yield the hydrochloride of the free acid.

参考文献No.555577
标题:Orally active and potent inhibitors of gamma-aminobutyric acid uptake
作者:Fe, A.; Bondinell, W.E.; Dandridge, P.A.; Frazee, J.S.; Garvey, E.; Girard, G.R.; Kaiser, C.; Ku, T.W.; Lafferty, J.J.; Moonsammy, G.I.; et al.
来源:J Med Chem 1985,28(5),653
合成路线图解说明:

The ethyl ester of 3-piperidinecarboxylic acid (nipecotic acid) (II) is N-alkylated with 4,4-diphenyl-3-butenyl bromide (I). The ethyl ester of N-(4,4-diphenyl-3-butenyl)nipecotic acid thus obtained is then hydrolyzed with HCl to yield the hydrochloride of the free acid.

合成路线图解说明:

The methyl ester of 1,2,5,6-tetrahydro-3-pyridinecarboxylate (guvacine) (II) is N-alkylated with 4,4-diphenyl-3-butenyl bromide (I). The methyl ester of N-(4,4-diphenyl-3-butenyl)guvacine thus obtained is then hydrolvzed with HCl to yield the hydrochloride of the free acid.

Drug Information Express,Drug R&D,Chemical Database,Patent Search.
Copyright © 2006-2026 Drug Future. All rights reserved.Contact Us