【药物名称】Lonapalene, RS-43179
化学结构式(Chemical Structure):
参考文献No.9817
标题:1,4-Acyloxynaphthalene derivs., topical compsns. containing them, methods for their preparation, and intermediates therefor
作者:Jones, G.H.; Venuti, M.C.; Young, J.M. (Syntex (USA), Inc.)
来源:EP 0107512; US 4466981
合成路线图解说明:

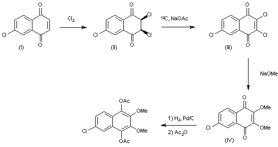
The chlorination of 6-choro-1,4-naphthoquinone (I) with Cl2 in acetic acid gives 2,3,6-trichloro-2,3-dihydro-1,4-naphthoquinone (II), which is treated with sodium acetate and Cl2 in refluxing acetic acid yielding 2,3,6-trichloro-1,4-naphthoquinone (II) The reaction of (III) with sodium methoxide in reftuxing methanol affords 6-chloro-2,3-dimethoxy-1-4-naphthoquinone (IV), which is finally reduced with H2 over Pd/C IP THF, and acetylated with acetic anhydride in pyridine (I).

参考文献No.62041
标题:RS-43179
作者:Casta馿r, J.; Prous, J.
来源:Drugs Fut 1986,11(1),34
合成路线图解说明:

The chlorination of 6-choro-1,4-naphthoquinone (I) with Cl2 in acetic acid gives 2,3,6-trichloro-2,3-dihydro-1,4-naphthoquinone (II), which is treated with sodium acetate and Cl2 in refluxing acetic acid yielding 2,3,6-trichloro-1,4-naphthoquinone (II) The reaction of (III) with sodium methoxide in reftuxing methanol affords 6-chloro-2,3-dimethoxy-1-4-naphthoquinone (IV), which is finally reduced with H2 over Pd/C IP THF, and acetylated with acetic anhydride in pyridine (I).

参考文献No.68251
标题:Synthesis of lonapalene
作者:Perri, S.T.; Moore, H.W.
来源:Tetrahedron Lett 1987,28(39),4507-10
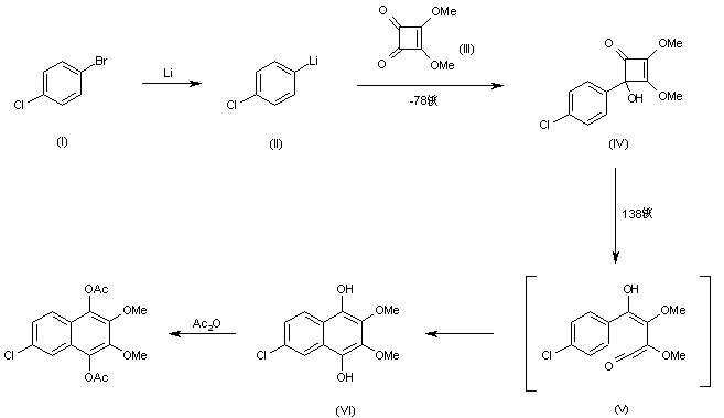
合成路线图解说明:

The metalation of 4-chlorobromobenzene (I) with lithium gives 4-chlorophenyllithium (II), which is condensed with dimethyl squarate (III) in THF at -78 C giving 4-(4-chlorophenyl)-4-hydroxy-2,3-dimethoxy-2-cyclobuten-1-one (IV). The isomerization of (IV) in refluxing xylene (38 C) affords naphthohydroquinone (VI) through the intermediate ketene (V). Finally, compound (VI) is acetylated with acetic anhydride in pyridine - dimethylaminopyridine.

Drug Information Express,Drug R&D,Chemical Database,Patent Search.
Copyright © 2006-2026 Drug Future. All rights reserved.Contact Us