【药物名称】Imidolol hydrochloride hydrate, Adimolol hydrochloride hydrate, MEN-935
化学结构式(Chemical Structure):
参考文献No.42012
标题:1-Aryloxy-2-hydroxy-3-[(benzimidazolin-one-substituted alkyl)-amino]-propanes and salts thereof
作者:Hoefke, W.; et al. (Boehringer Ingelheim GmbH)
来源:DE 2644833
合成路线图解说明:

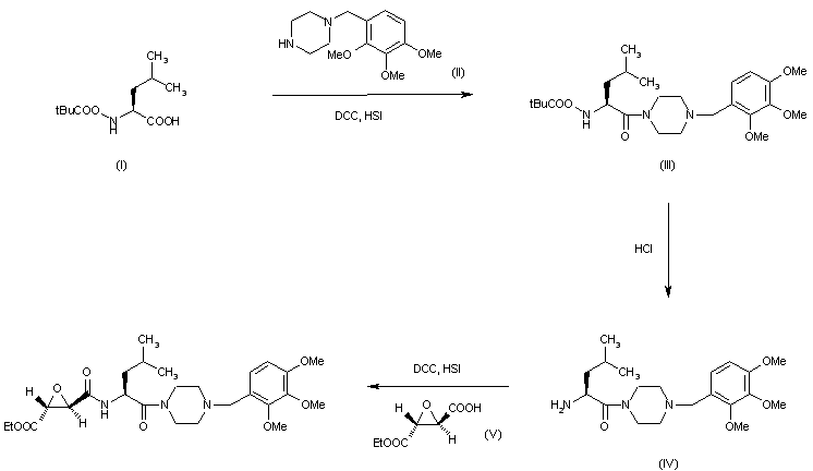
The condensation of N-(tert-butoxycarbonyl)-L-leucine (I) with 1-2,3,4-trimethoxybenzyl)piperazine (II) by means of N-hydroxysuccinimide (HSI) and dicyclohexylcarbodiimide (DCC) in dichloromethane gives the corresponding acylated piperazine (III), which is deprotected with dry HCl in ethyl acetate yielding the leucine derivative (IV). Finally, this compound is condensed with trans-epoxysuccinic acid monoethyl ester (V) by means of DCC and HSI as before and treated with H2SO4.

合成路线图解说明:

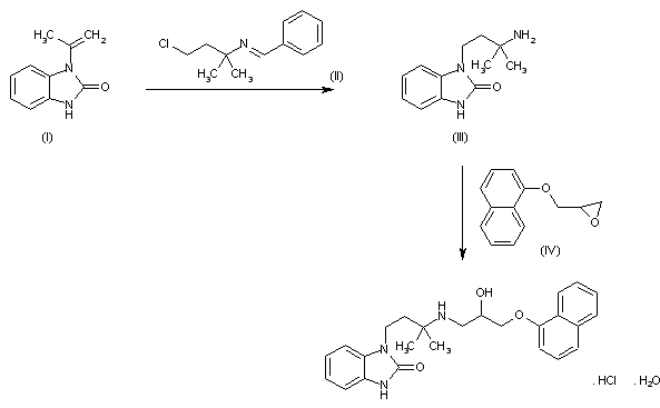
The reaction of 1-(1-propen-2-yl)-2 benzimidazolinone (I) in hexamethylphosphorus triamide with sodium hydride and 3-benzalamino-3,3-dimethylpropyl chloride (II) and treating the reaction product with hydrochloric acid gives 1-(3 amino-3,3-dimethylpropyl)-2 benzimidazolone (III). The amine (III) is refluxed with 1-(1-naphthyloxy)propylene-(2,3)-oxide (IV) yielding the title compound.

参考文献No.62036
标题:Adimolol hydrochloride hydrate
作者:Mentrup, A.; Palluk, R.; Gaida, W.; Hoefke, W.
来源:Drugs Fut 1986,11(1),9
合成路线图解说明:

The reaction of 1-(1-propen-2-yl)-2 benzimidazolinone (I) in hexamethylphosphorus triamide with sodium hydride and 3-benzalamino-3,3-dimethylpropyl chloride (II) and treating the reaction product with hydrochloric acid gives 1-(3 amino-3,3-dimethylpropyl)-2 benzimidazolone (III). The amine (III) is refluxed with 1-(1-naphthyloxy)propylene-(2,3)-oxide (IV) yielding the title compound.

Drug Information Express,Drug R&D,Chemical Database,Patent Search.
Copyright © 2006-2026 Drug Future. All rights reserved.Contact Us