【药物名称】Oxmetidine Hydrochloride, SK&F-92994-J2(mesylate), SK&F-92994(free base), SK&F-92994-A2
化学结构式(Chemical Structure):
参考文献No.47475
标题:Process for preparing 2-aminopyrimidones, intermediate 2-nitroaminopyrimidones and a process for their preparation
作者:Brown, T.H. (SmithKline Beecham plc)
来源:EP 0004793
合成路线图解说明:

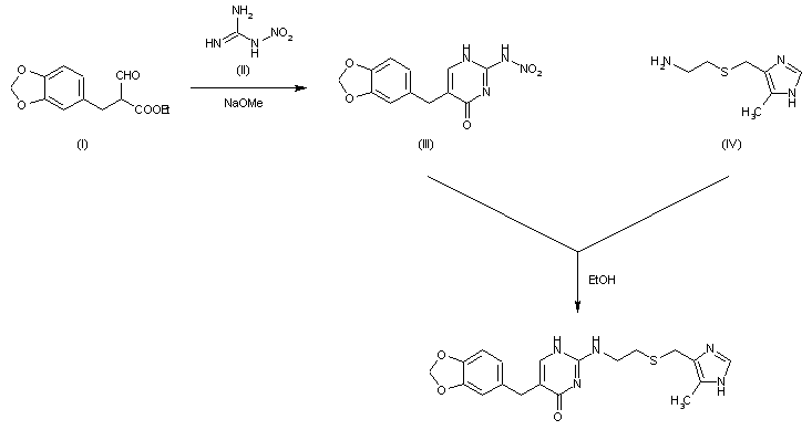
The cyclization of ethyl 2-formyl-3-(3,4-methylenedioxyphenyl)propionate (I) with nitroguanidine (II) by means of sodium methoxide in refluxing methanol gives 2-nitroamino-5-(3,4-methylenedioxybenzyl)-4-pyrimidone (III), which is then condensed with 2-(5-methyl-4-imidazolylmethylthio)ethylamine (IV) in refluxing ethanol.

参考文献No.61899
标题:Oxmetidine hydrochloride
作者:Blancafort, P.; Casta馿r, J.; Serradell, M.N.
来源:Drugs Fut 1982,7(10),749
合成路线图解说明:

The cyclization of ethyl 2-formyl-3-(3,4-methylenedioxyphenyl)propionate (I) with nitroguanidine (II) by means of sodium methoxide in refluxing methanol gives 2-nitroamino-5-(3,4-methylenedioxybenzyl)-4-pyrimidone (III), which is then condensed with 2-(5-methyl-4-imidazolylmethylthio)ethylamine (IV) in refluxing ethanol.

合成路线图解说明:

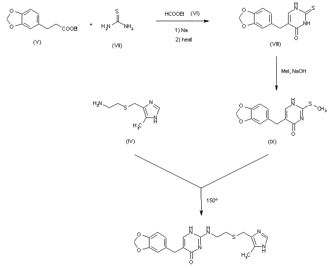
The cyclization of ethyl 3-(3,4-ethylenedioxyphenyl)propionate (V), ethyl formate (VI) and thiourea (VII) by means of Na in ether and ethanol gives 5-(3,4-methylenedioxyphenyl)-2-thiouracil (VIII), which by reaction with methyl iodide and NaOH in ethanol-water is converted into 5-(3,4-methylenedioxybenzyl)-2-methylthio-4-pyrimidone (IX). Finally, this compound is condensed with (IV) by heating at 150 C.

参考文献No.701338
标题:
作者:Brown, T.H.
来源:DE 2660563
合成路线图解说明:

The cyclization of ethyl 3-(3,4-ethylenedioxyphenyl)propionate (V), ethyl formate (VI) and thiourea (VII) by means of Na in ether and ethanol gives 5-(3,4-methylenedioxyphenyl)-2-thiouracil (VIII), which by reaction with methyl iodide and NaOH in ethanol-water is converted into 5-(3,4-methylenedioxybenzyl)-2-methylthio-4-pyrimidone (IX). Finally, this compound is condensed with (IV) by heating at 150 C.

Drug Information Express,Drug R&D,Chemical Database,Patent Search.
Copyright © 2006-2026 Drug Future. All rights reserved.Contact Us