【药物名称】Mafosfamide cyclohexylamine salt, ASTA-Z-7654(free acid), NSC-345842, ASTA-Z-7557
化学结构式(Chemical Structure):
参考文献No.47239
标题:Oxazaphosphorin-4-thio-alkanesulphonic acids, and neutral salts thereof
作者:Scheffler, G.; et al. (Asta Medica AG)
来源:BE 0892589
合成路线图解说明:

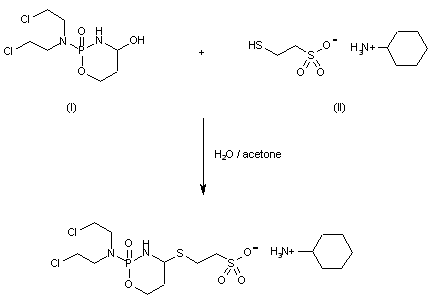
Z-7557 can be prepared from 4-hydroxycyclophosphamide (I) and 2-mercaptoethanesulfonic acid cyclohexylamine salt (II) in water/acetone.

参考文献No.800376
标题:
作者:Iwata, T.; Yamaguchi, K.; Takamizawa, A.; Katagiri, K.; Matsumoto, S.; Tochino, Y.
来源:J Am Chem Soc 1973,98985
合成路线图解说明:

Z-7557 can be prepared from 4-hydroxycyclophosphamide (I) and 2-mercaptoethanesulfonic acid cyclohexylamine salt (II) in water/acetone.

参考文献No.800377
标题:ASTA-Z-7557
作者:Casta馿r, J.; Blancafort, P.; Serradell, M.N.
来源:Drugs Fut 1983,8(10),873
合成路线图解说明:

Z-7557 can be prepared from 4-hydroxycyclophosphamide (I) and 2-mercaptoethanesulfonic acid cyclohexylamine salt (II) in water/acetone.

Drug Information Express,Drug R&D,Chemical Database,Patent Search.
Copyright © 2006-2026 Drug Future. All rights reserved.Contact Us