【药物名称】Alfaprostol, Ro-229000, K-11941, Alfavet
化学结构式(Chemical Structure):
参考文献No.45858
标题:Omega-nor-cycloalkyl-13,14-dehydroprostaglandins
作者:Gandolfi, C.; Pellegata, R.; Ceserani, R.; Usardi, M.M. (Pharmacia Corp.)
来源:DE 2539116; FR 2285866; FR 2378757; GB 1483880; JP 51125044; JP 58135858; US 4035415; US 4361577
合成路线图解说明:

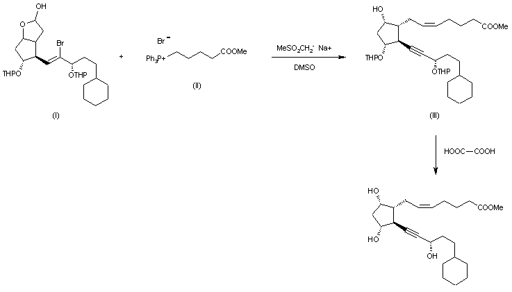
The Wittig condensation of the bicyclic lactol (I) with 4-(methoxycarbonyl)butyl triphenylphosphonium bromide (II) by means of sodium methylsulfinyl carbanide in DMSO and simultaneous dehydrobromination gives the bis(tetrahydropyranyl) derivative (III), which is finally deprotected by a treatment with oxalic acid in refluxing acetone.

参考文献No.64778
标题:Alfaprostol
作者:Casta馿r, J.; Serradell, M.N.; de Angelis, L.
来源:Drugs Fut 1985,10(1),9
合成路线图解说明:

The Wittig condensation of the bicyclic lactol (I) with 4-(methoxycarbonyl)butyl triphenylphosphonium bromide (II) by means of sodium methylsulfinyl carbanide in DMSO and simultaneous dehydrobromination gives the bis(tetrahydropyranyl) derivative (III), which is finally deprotected by a treatment with oxalic acid in refluxing acetone.

Drug Information Express,Drug R&D,Chemical Database,Patent Search.
Copyright © 2006-2026 Drug Future. All rights reserved.Contact Us