【药物名称】Bretazenil, Ro-16-6028/000, Ro-16-6028
化学结构式(Chemical Structure):
参考文献No.9815
标题:Imidazodiazepines, process for their preparation a
作者:Hunkeler, W.; Kyburz, E. (F. Hoffmann-La Roche AG)
来源:EP 0059391; US 4353827
合成路线图解说明:

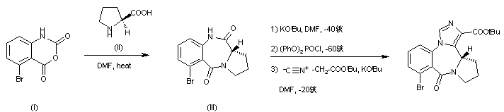
5-Bromo-2H-3,1-benzoxazine-2,4(1H)-dione (I) and L-proline (II) are heated in DMF to form (S)-6-bromo-1,2,3,11a-tetrahydro-5H-pyrrolo[2,1-c][1,4]benzodiazepine-5,11(10H)-dione (III). This lactam is then reacted with t-BuOK and diphenyl chlorophosphate, and subsequently with the anion of tert-butyl isocyanoacetate.

参考文献No.63039
标题:Ro 16-6028
作者:Roncari, G.; Jauch, R.; Timm, U.; Pieri, L.; Merz, W.A.; Hunkeler, W.
来源:Drugs Fut 1988,13(8),730
合成路线图解说明:

5-Bromo-2H-3,1-benzoxazine-2,4(1H)-dione (I) and L-proline (II) are heated in DMF to form (S)-6-bromo-1,2,3,11a-tetrahydro-5H-pyrrolo[2,1-c][1,4]benzodiazepine-5,11(10H)-dione (III). This lactam is then reacted with t-BuOK and diphenyl chlorophosphate, and subsequently with the anion of tert-butyl isocyanoacetate.

Drug Information Express,Drug R&D,Chemical Database,Patent Search.
Copyright © 2006-2026 Drug Future. All rights reserved.Contact Us