【药物名称】Meteneprost, U-46785
化学结构式(Chemical Structure):
参考文献No.60598
标题:Meteneprost
作者:Hillier, K.; Casta馿r, J.
来源:Drugs Fut 1981,6(11),686
合成路线图解说明:

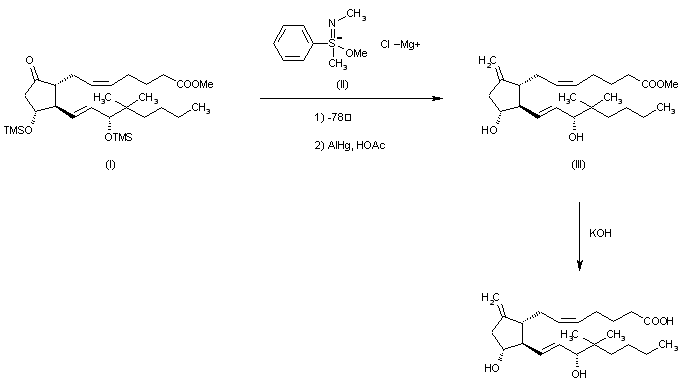
The reaction of 16,16-dimethyl-PGE2 methyl ester bis(trimethylsilyl) ether (I) with the reaction product of N,S-dimethyl-S-phenylsulfoximine and methylmagnesium chloride (II) in THF at -78 C followed by a treatment with AlHg and acetic acid gives 9-deoxy-9-methylene-16,16-dimethyl-PGE2 methyl ester (III), which is hydrolyzed with KOH in methanol - water.

参考文献No.701492
标题:
作者:Bundy, G.L.
来源:US 4060534
合成路线图解说明:

The reaction of 16,16-dimethyl-PGE2 methyl ester bis(trimethylsilyl) ether (I) with the reaction product of N,S-dimethyl-S-phenylsulfoximine and methylmagnesium chloride (II) in THF at -78 C followed by a treatment with AlHg and acetic acid gives 9-deoxy-9-methylene-16,16-dimethyl-PGE2 methyl ester (III), which is hydrolyzed with KOH in methanol - water.

Drug Information Express,Drug R&D,Chemical Database,Patent Search.
Copyright © 2006-2026 Drug Future. All rights reserved.Contact Us