【药物名称】Doxofylline, DO-309, ABC-1213, ABC-12/3, Maxivent, Ventax, Ansimar
化学结构式(Chemical Structure):
参考文献No.46758
标题:Pharmaceutical composition with anti-bronchospasmodic and anti-tussive activity
作者:Franzone, J.S.; Tamietto, T. (Istituto Biologico Chemioterapico "ABC" SpA)
来源:BE 0868556; DE 2827497; FR 2421614; GB 1582510; JP 1123066C; JP 54138127; JP 57015088B; NL 7807152; US 4187308
合成路线图解说明:

By reaction of theophylline-7-acetaldehyde (I) with ethylene glycol (II) by means of p-toluenesulfonic acid in refluxing benzene.

参考文献No.62285
标题:Dimeric cpds. and their use as anti-viral agents
作者:Dowle, M.D.; Wu, W.-Y.; Jin, B.; Mason, A.M.; McConnell, D.; MacDonald, S.J.F.; Shanahan, S.E.; Nguyen, V.T.T. (Biota Scientific Management Pty Ltd.)
来源:WO 0340135
合成路线图解说明:

By reaction of theophylline-7-acetaldehyde (I) with ethylene glycol (II) by means of p-toluenesulfonic acid in refluxing benzene.

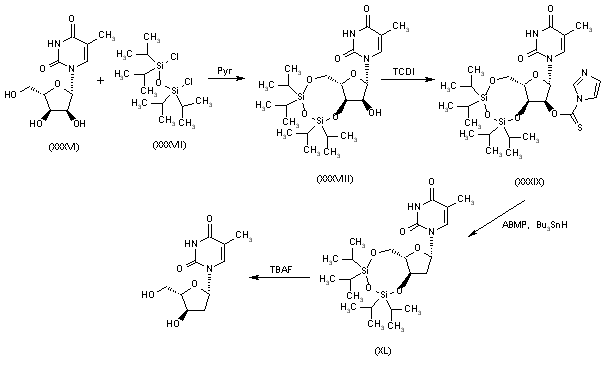
合成路线图解说明:

Condensation of 1-(b-L-ribofuranosyl)thymine (XXXVI) with 1,3-dichloro-1,1,3,3-tetraisopropyldisiloxane (XXXVII) in pyridine gives the cyclic disiloxane nucleoside (XXXVIII), which is acylated with thiocarbonyldiimidazole (TCDI) in DMF to yield the 2'-O-thioester derivative (XXXIX). Reduction of this compound by means of 2,2'-azobis(methylpropionitrile) (ABMP) and Bu3SnH in refluxing toluene affords the silylated 2'-deoxynucleoside (XL), which is finally desilylated by means of TBAF in THF.

参考文献No.800186
标题:Diossolani ed 1,3-diossani
作者:De Martiis, F.; Toffoli, F.; Avico, U.
来源:Farm Sci Ed 1962,1773-80
合成路线图解说明:

By reaction of theophylline-7-acetaldehyde (I) with ethylene glycol (II) by means of p-toluenesulfonic acid in refluxing benzene.

参考文献No.800187
标题:Pharmacoligical researches on 2-(7'-theophyllinemethyl)-1,3-dioxolane
作者:Franzone, J.S.; Di Carlo, R.; Fonzo, D.; Reboani, C.
来源:Farm Sci Ed 1981,36201-219
合成路线图解说明:

By reaction of theophylline-7-acetaldehyde (I) with ethylene glycol (II) by means of p-toluenesulfonic acid in refluxing benzene.

Drug Information Express,Drug R&D,Chemical Database,Patent Search.
Copyright © 2006-2026 Drug Future. All rights reserved.Contact Us