【药物名称】Milrinone lactate, YM-018, Win-47203, Corotrope, Primacor
化学结构式(Chemical Structure):
参考文献No.46773
标题:5-(pyridinyl)-2(1H)-pyridinones, useful as cardiotonic agents and their preparation
作者:Lehser, G.Y.; Philion, R.E.; Page, D.F.; Opalka, C.J. (Sterling Winthrop Inc.)
来源:DE 3044568; FR 2470124; GB 2065642; NL 8006399
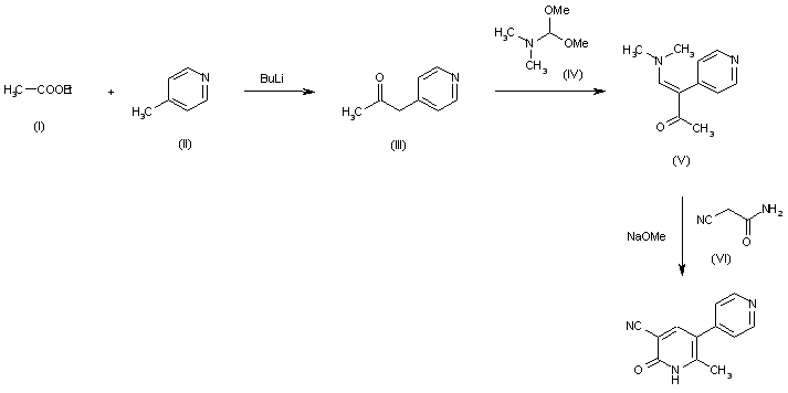
合成路线图解说明:

The condensation of ethyl acetate (I) with 4-picoline (II) by means of n-butyllithium in THF gives 1-(4-pyridyl)propanone (III), which by reaction with the dimethylacetal of dimethylformamide (IV) in refluxing HMPT is converted into 4-dimethylamino-3-(4-pyridyl)-3-buten-2-one (V). Finally, this compound is cyclized with cyanacetamide (VI) by means of sodium methoxide in refluxing DMF.

参考文献No.60599
标题:WIN-47,203
作者:Serradell, M.N.; Casta馿r, J.; Blancafort, P.
来源:Drugs Fut 1982,7(10),757
合成路线图解说明:

The condensation of ethyl acetate (I) with 4-picoline (II) by means of n-butyllithium in THF gives 1-(4-pyridyl)propanone (III), which by reaction with the dimethylacetal of dimethylformamide (IV) in refluxing HMPT is converted into 4-dimethylamino-3-(4-pyridyl)-3-buten-2-one (V). Finally, this compound is cyclized with cyanacetamide (VI) by means of sodium methoxide in refluxing DMF.

Drug Information Express,Drug R&D,Chemical Database,Patent Search.
Copyright © 2006-2026 Drug Future. All rights reserved.Contact Us