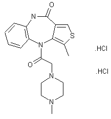
【药物名称】Telenzepine hydrochloride, SK-871, B-818-04(hemifumarate), B-803-32(free base), B-818-03
化学结构式(Chemical Structure):
参考文献No.39873
标题:Process for the preparation of 2-bromo-8-ergolinyl
作者:B鰎ner, H.; Haffer, G.; Sauer, G. (Schering AG)
来源:DE 3340025; US 4970314
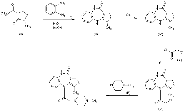
合成路线图解说明:

The condensation of 1 2-benzenediamine (I) with methyltetrahydro-5-methyl 4-oxo-3-thiophenecarboxylate (II) in toluene using a Dean-Stark trap gives the triyclic system (III), which is dehydrogenated to 4,9-dihydro-3-methyl-10H-thienol[3,4-b][1,5]benzodiazepin-10-one (IV). Treatment of (IV) with chloroacetyl chloride in dioxane in the presence of K2CO3 yields 4-chloroacetyl-4,9-dihydro-3-methyl-10H-thieno[3,4-b][1,5]benzodiazepin-10-one (V), which is finally reacted with N-methylpiperazine to produce telenzepine, which is isolated as the hydrochloride.

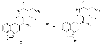
合成路线图解说明:

Bromerguride is prepared by bromination of lisuride (I).

参考文献No.62392
标题:TELENZEPINE HYDROCHLORIDE < Rec INN >
作者:Galvan, M.; Eltze, M.; Figala, V.
来源:Drugs Fut 1988,13(4),327
合成路线图解说明:

The condensation of 1 2-benzenediamine (I) with methyltetrahydro-5-methyl 4-oxo-3-thiophenecarboxylate (II) in toluene using a Dean-Stark trap gives the triyclic system (III), which is dehydrogenated to 4,9-dihydro-3-methyl-10H-thienol[3,4-b][1,5]benzodiazepin-10-one (IV). Treatment of (IV) with chloroacetyl chloride in dioxane in the presence of K2CO3 yields 4-chloroacetyl-4,9-dihydro-3-methyl-10H-thieno[3,4-b][1,5]benzodiazepin-10-one (V), which is finally reacted with N-methylpiperazine to produce telenzepine, which is isolated as the hydrochloride.

Drug Information Express,Drug R&D,Chemical Database,Patent Search.
Copyright © 2006-2026 Drug Future. All rights reserved.Contact Us