【药物名称】Montirelin, CNK-602A, PS-24, CG-3703
化学结构式(Chemical Structure):
参考文献No.75170
标题:CG-3703
作者:Pento, J.T.
来源:Drugs Fut 1983,8(12),1007
合成路线图解说明:

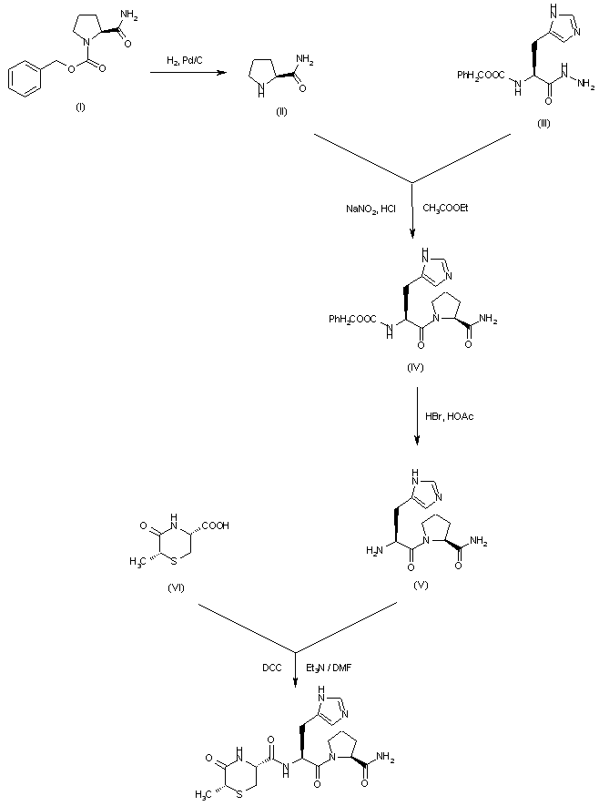
The synthesis of thyrotropin releasing hormone (TRH) analogues is described as follows: The reduction of N-benzyloxycarbonylprolinamide (I) with H2 over Pd/C in methanol gives prolinamide (II), which is condensed with N-benzyloxy-carbonylhistidyl hydrazide (III) by means of NaNO2 - HCl in ethyl acetate yielding N-benzyloxycarbonylhistidylprolinamide (IV). The hydrolysis of (IV) with HBr in acetic acid affords histidylprolinamide (V), which is finally condensed with 6-methyl-5-oxothiomorpholinyl-3-carboxylic acid (VI) by means of 1-hydroxybenzotriazole, dicyclohexylcarbodiimide and triethylamine in DMF.

参考文献No.701286
标题:
作者:
来源:US 4045556
合成路线图解说明:

The synthesis of thyrotropin releasing hormone (TRH) analogues is described as follows: The reduction of N-benzyloxycarbonylprolinamide (I) with H2 over Pd/C in methanol gives prolinamide (II), which is condensed with N-benzyloxy-carbonylhistidyl hydrazide (III) by means of NaNO2 - HCl in ethyl acetate yielding N-benzyloxycarbonylhistidylprolinamide (IV). The hydrolysis of (IV) with HBr in acetic acid affords histidylprolinamide (V), which is finally condensed with 6-methyl-5-oxothiomorpholinyl-3-carboxylic acid (VI) by means of 1-hydroxybenzotriazole, dicyclohexylcarbodiimide and triethylamine in DMF.

参考文献No.800388
标题:Synthesis of a series of residue 1-(pyroglutamic acid) analogs of thyrotropin releasing hormone
作者:Goren, H.J.; Bauce, L.G.
来源:Intl J Pept Protein Res 1979,14216-226
合成路线图解说明:

The synthesis of thyrotropin releasing hormone (TRH) analogues is described as follows: The reduction of N-benzyloxycarbonylprolinamide (I) with H2 over Pd/C in methanol gives prolinamide (II), which is condensed with N-benzyloxy-carbonylhistidyl hydrazide (III) by means of NaNO2 - HCl in ethyl acetate yielding N-benzyloxycarbonylhistidylprolinamide (IV). The hydrolysis of (IV) with HBr in acetic acid affords histidylprolinamide (V), which is finally condensed with 6-methyl-5-oxothiomorpholinyl-3-carboxylic acid (VI) by means of 1-hydroxybenzotriazole, dicyclohexylcarbodiimide and triethylamine in DMF.

Drug Information Express,Drug R&D,Chemical Database,Patent Search.
Copyright © 2006-2026 Drug Future. All rights reserved.Contact Us