【药物名称】Orotirelin, CG-3509
化学结构式(Chemical Structure):
参考文献No.75316
标题:CG-3509
作者:Serradell, M.N.; Casta馿r, J.; Nohria, V.
来源:Drugs Fut 1984,9(11),807
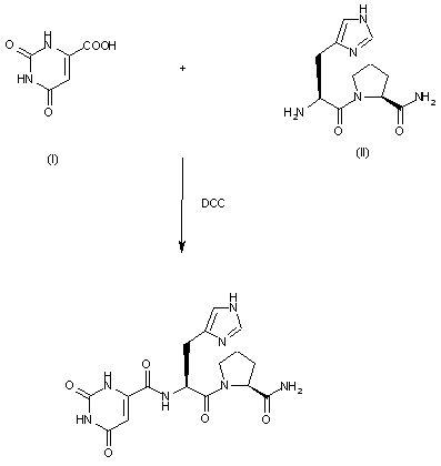
合成路线图解说明:

By condensation of orotic acid (I) with histidylprolylamide (II) by means of 1-hydroxybenzotriazole and dicyclohexylcarbodiimide in DMF.

参考文献No.701201
标题:Dipeptidderivate
作者:Schwertner, E.; et al.
来源:AT 348694B; BE 0834590; DE 2449167
合成路线图解说明:

By condensation of orotic acid (I) with histidylprolylamide (II) by means of 1-hydroxybenzotriazole and dicyclohexylcarbodiimide in DMF.

Drug Information Express,Drug R&D,Chemical Database,Patent Search.
Copyright © 2006-2026 Drug Future. All rights reserved.Contact Us